The Project Gutenberg EBook of Henri Poincaré, by Ernest Lebon

This eBook is for the use of anyone anywhere at no cost and with
almost no restrictions whatsoever.  You may copy it, give it away or
re-use it under the terms of the Project Gutenberg License included
with this eBook or online at www.gutenberg.org


Title: Henri Poincaré
       Biographie, Bibliographie Analytique des Écrits

Author: Ernest Lebon

Release Date: June 23, 2010 [EBook #32948]

Language: French

Character set encoding: UTF-8

*** START OF THIS PROJECT GUTENBERG EBOOK HENRI POINCARÉ ***




Produced by Laura Wisewell, Turgut Dincer and the Online
Distributed Proofreading Team at http://www.pgdp.net (The
original copy of this book was generously made available
for scanning by the Department of Mathematics at the
University of Glasgow.)






Note de transcription:
Les noms étrangers sont marqués par le code «lang» pour qu'ils soient prononcés correctement si le livre fait l'objet d'un enregistrement audio.

HENRI POINCARÉ

PRINCIPAUX OUVRAGES DE M. ERNEST LEBON.


Chez M. Gauthier-Villars, Quai des Grands-Augustins, 55, Paris.

Histoire abrégée de l'Astronomie. Petit in-8, en caractères elzévirs, titre en deux couleurs, avec 16 portraits et 1 Carte du Ciel; 1899 (Ouvrage couronné par l'Académie Française).

8 fr.

Théorie et Application des Sections homothétiques de deux quadriques. Grand in-8, avec 9 figures; 1884.

2 fr.

Savants du Jour: Biographie, Bibliographie analytique des Écrits. Grand in-8 (28-19), papier de Hollande, avec un portrait en héliogravure (Collection honorée d'une Souscription de l'Académie des Sciences, des Ministères de l'Instruction publique de France et de Roumanie):

2 fr.

Henri Poincaré, 1 vol. de iv-112 p., 2e éd., 25 mai 1912

7 fr.

Gaston Darboux, 1 vol. de viii-72 p., 10 Janvier 1910

7 fr.

Émile Picard, 1 vol. de viii-80 p., 1er Juin 1910

7 fr.

Paul Appell, 1 vol. de viii-71 p., 10 Novembre 1910

7 fr.

Gabriel Lippmann, 1 vol. de viii-70 p., 15 Juillet 1911

7 fr.

Chez MM. Delalain Frères, Boulevard Saint-Germain, 115, Paris.

Traité de Géométrie Descriptive (comprenant la Géométrie Cotée). 2 vol. grand in-8.

IerVolume. Classe de Mathématiques, 286 épures dans le texte; 3e éd., 1901

5 fr.

IIe Volume. Classe de Mathématiques spéciales, 199 épures dans le texte, 1 Atlas in-8 de 14 planches in-4 gravées; 1882

12 fr.

Table de Caractéristiques relatives à la base 2310 des Facteurs Premiers d'un nombre inférieur à 30030. Gr. in-8, 12 pages de texte, 20 Tableaux; 1906 (Ouvrage honoré d'une Subvention de L'Association Française pour l'Avancement des Sciences)

1 fr. 50
Ornament
Portrait of Henri Poncaré
Cliché Manuel Imp. Ch. Wittmann

SAVANTS DU JOUR


HENRI POINCARÉ

BIOGRAPHIE,
BIBLIOGRAPHIE ANALYTIQUE DES ÉCRITS

PAR

Ernest LEBON,

Agrégé de l'Université,
Lauréat de l'Institut (Ac. Fr. et Ac. des Sc.),
Correspondant des Académies de Lisbonne et de Metz,
de la Société royale des Sciences de Liége.
SECONDE ÉDITION
ENTIÈREMENT REFONDUE.
printers

PARIS,
GAUTHIER-VILLARS, IMPRIMEUR-LIBRAIRE
DU BUREAU DES LONGITUDES, DE L'ÉCOLE POLYTECHNIQUE.
Quai des Grands-Augustins, 55

25 Mai 1912
(Tous droits réservés.)


TABLE DES MATIÈRES.


1

HENRI POINCARÉ


SECTION I.

BIOGRAPHIE.

Ornament_2

Extrait de la Réponse de M. FRÉDÉRIC MASSON, Directeur de l'Académie Française, au Discours de M. HENRI POINCARÉ, prononcé dans la séance du 28 janvier 1909.

Monsieur,

Lorsque vous avez sollicité d'être admis dans notre Compagnie, vous faisiez déjà partie de trente-cinq Académies. Elles vous avaient spontanément recherché ou elles vous avaient accueilli avec un empressement marqué. Où que vous alliez dans le monde, vous êtes assuré de trouver des confrères qui s'honorent d'autant plus de célébrer votre venue qu'ils en reçoivent l'apparence d'avoir compris vos travaux. En France, vous êtes «le Maître» pour quiconque participe aux études mathématiques; vous présentez dans notre pays l'unique exemple d'une supériorité unanimement reconnue, et votre réputation, formée dès vos débuts par vos camarades de l'École Polytechnique, soutenue par vos collègues de la Sorbonne, répandue par vos confrères de l'Académie des Sciences, proclamée plébiscitairement par les savants de l'Europe entière, s'est établie comme un axiome;—celui-là, Monsieur, vous ne le contesterez pas.

Ainsi porté par les suffrages de tous ceux qui étaient dignes de vous entendre, vous vous êtes présenté à nous. L'Académie n'a sur une œuvre telle que la vôtre aucune juridiction; mais par une tradition plus que2 trois fois séculaire, à chaque fois que, dans l'Académie des Sciences sa sœur cadette et son émule, elle a vu s'élever un homme d'un mérite exceptionnel, qui fût en quelque sorte désigné par le suffrage de ses pairs, elle a désiré se l'adjoindre, non seulement parce qu'elle tient à honneur de rester ouverte à toutes les illustrations nationales, mais parce qu'il lui importe de s'assurer l'active collaboration de savants prêts à l'éclairer sur la signification et l'usage des mots que les sciences naturelles, physiques et mathématiques fournissent à la langue. L'évolution que cette langue subit depuis trois quarts de siècle pour acquérir des mots correspondant à des connaissances nouvelles lui rend l'accession d'hommes de science plus désirable qu'elle ne fut jamais.

Toujours pourtant ils y figurèrent en nombre respectable. Vous en avez cité trois: vous eussiez pu être plus généreux envers vos devanciers. Même en négligeant Bureau de la Chambre et l'abbé Galloys, vous eussiez pu remonter à Fontenelle et, entre des hommes tels que Terrasson, Mairan, Maupertuis, Buffon, d'Alembert, La Condamine, Condorcet, Bailly, Vicq d'Azir, distinguer ceux dont vous vous recommandez comme d'ancêtres. N'y a-t-il vraiment que d'Alembert? De même, parmi les membres de l'Académie renouvelée, vous avez nommé seulement Bertrand et Pasteur: Laplace, Cuvier, Fourier, Flourens, Biot, Claude Bernard, Jean-Baptiste Dumas ne paraissaient pas moins dignes de louange et vous m'avez laissé—ce dont je vous remercie—le très grand honneur de commémorer le dernier parti, celui dont vous occuperez parmi nous la place, sinon le fauteuil, et auquel vous succédez en réalité, Marcelin Berthelot....

Naturalistes, physiciens, chimistes, astronomes, mathématiciens s'y sont ainsi succédé sans qu'on tînt compte des matières spéciales qu'ils avaient étudiées. Ils représentaient les sciences, donc la Science. C'est cette lignée que vous continuerez; c'est celle que vous êtes appelé à perpétuer; mais, si les travaux de vos devanciers ont été, dans une mesure au moins, accessibles à notre admiration, si nous sommes certains des progrès que plusieurs d'entre eux ont fait réaliser à l'humanité dans l'art de vivre, si l'effort littéraire auquel d'autres se sont livrés ont rendu leurs découvertes spéculatives sensibles même à ces «gens du monde» pour qui vous avez peu d'indulgence, je me trouve—et je l'avoue franchement—singulièrement embarrassé à votre égard.

Dans un de vos livres récents, vous vous êtes demandé avec un étonnement que vous ne dissimulez point: «Comment se fait-il qu'il y ait des gens qui ne comprennent pas les mathématiques?» Or, c'est à moi, qui suis dans ce cas très fâcheux, et le seul sans doute de mes confrères, que nos règlements assignent le devoir et l'honneur de vous souhaiter la bienvenue.3

Certes mon infirmité me peine; mais, à des degrés différents, presque tous mes semblables en paraissent affligés, et vous reconnaissez vous-même qu'au-dessus d'un certain niveau il doit en être ainsi. Qu'un jeune homme reste rebelle aux démonstrations prévues par les programmes de l'Enseignement secondaire, cela vous paraît «surprenant»; s'il s'agit de l'Enseignement supérieur, vous trouvez des excuses et, quant aux hautes spéculations, comme vous n'y êtes suivi que par trois ou quatre de vos émules,—faut-il dire quatre?—vous témoignez qu'il faut être indulgent au restant de l'humanité. Cette faiblesse qui ne devrait pas atteindre «les esprits bien faits» a donc ses degrés et en quelque façon sa hiérarchie: d'étage en étage, on s'élève vers des régions qui sont de moins en moins abordables; sur les pentes de la montagne, les ascensionnistes s'espacent las et découragés; certains, dont je suis, sont restés en bas; ils ne vous suivent même plus des yeux dans votre course olympique, mais ils ne vous acclament pas moins avec une enthousiaste admiration, lorsque parvenu, par l'effort de votre génie, au sommet du pic qu'on déclarait inaccessible, vous gravez un nom français.

L'Académie vous a prouvé par ses suffrages l'estime où elle vous tient; aussi bien, pour plaider votre cause un de ses membres s'était présenté qu'entoure la respectueuse déférence de ses confrères et qui, à la compétence scientifique joint une lucidité d'exposition et une justesse d'expression qui font de lui un des orateurs les plus remarqués de notre temps. Puis-je faire mieux qu'enregistrer ses paroles: «M. Poincaré, a-t-il dit, est un esprit très vaste.... Il est tout à fait remarquable par la diversité et la profondeur de ses connaissances. Il est non seulement géomètre, mais physicien et astronome, non à la manière des savants qui se livrent à des observations et à des expériences, mais, par l'application qu'il a faite à ces sciences des méthodes analytiques; en d'autres termes, il a cultivé et poussé fort loin la physique mathématique et la mécanique céleste.

«Comme géomètre, ses travaux ayant trait à la théorie des nombres, au calcul intégral, à la théorie générale des fonctions se trouvent répandus dans plus de cent cinquante notes publiées aux Comptes rendus de l'Académie des Sciences et dans au moins autant d'articles ou de mémoires insérés dans les journaux mathématiques de France et de l'Étranger.

«Professeur de physique mathématique à l'Université de Paris, il a publié quatorze volumes de leçons sur la lumière, l'électricité, la thermodynamique, la propagation de la chaleur, insistant surtout sur les rapports de la lumière et de l'électricité et vulgarisant en France, en les perfectionnant, les théories de l'Anglais Maxwell, expérimentées peu après et mises hors de doute par le grand physicien allemand Hertz. Par là, il n'est point demeuré étranger à la découverte de la télégraphie sans fil, application des ondes hertziennes.4

«Dans la partie astronomique, a ajouté notre éminent confrère, M. Poincaré a montré beaucoup d'originalité; ainsi, ses études sur la forme que va prendre une masse fluide en rotation et soumise à la pesanteur universelle l'ont amené à des théories très intéressantes sur la disjonction de la Terre et de la Lune et sur la formation des diverses étoiles variables; ses travaux sur la stabilité du système solaire l'ont conduit, par la révision des calculs de Laplace et par une approximation poussée plus loin, à la preuve que la théorie, telle qu'elle fut formulée dès 1784, est absolument justifiée. Les trois volumes qu'il a publiés sur les nouvelles méthodes de la mécanique céleste font autorité parmi les astronomes.»

Voilà bien des titres. Géomètre, physicien, astronome, vous étiez déjà, comme on nous le disait, «une des personnalités les plus qualifiées de l'Académie des Sciences pour entrer à l'Académie française»; mais, de plus, vous êtes philosophe; vous l'êtes par le tour habituel de votre esprit et par la direction donnée à vos travaux scientifiques; vous l'êtes par l'étude directe à laquelle vous vous êtes livré des grandes questions qui font l'objet de la philosophie: les notions d'espace, de nombre, de continuité, le rôle de l'hypothèse et sa nécessité pour le progrès de la Science.

Les deux volumes où vous avez réuni certaines préfaces de vos livres scientifiques et divers articles publiés dans des revues, ont attiré un public peu sollicité d'ordinaire par de tels ouvrages; alors qu'ils ne semblaient accessibles qu'à des hommes ayant reçu une instruction spéciale et ayant, par un exercice journalier, contracté des habitudes d'esprit auxquelles se dérobaient les générations autrement cultivées, ils ont emporté un succès qu'on eût cru réservé aux romans scandaleux. Puisqu'il se trouve, pour prendre intérêt à des problèmes tels que vous les débattez en les illustrant d'exemples et de raisonnements mathématiques, un tel auditoire, il faut croire qu'une évolution intellectuelle, et peut-être sociale, s'est accomplie, à laquelle vous auriez singulièrement contribué. Par les seize mille exemplaires vendus de La Science et l'Hypothèse, vous avez atteint un personnel au moins décuple, et, à présent, par votre collaboration à certains journaux, vous vous proposez sans doute d'initier aux mystères de la haute philosophie scientifique la nation entière. Cela est un grand dessein.

Qu'ajouterait mon incompétence? Pour me prouver que je suis moins capable de vous entendre que les huit cent mille lecteurs que vous improvisez vos élèves, tenterai-je de lire tout ce que vous avez écrit? Hélas! la bibliographie que de diligents disciples ont établie de vos œuvres est là pour me prouver mon impuissance. Les titres mêmes ne me disent rien que je comprenne et j'y suis submergé. En 1886, lorsque vous vous présentâtes à l'Académie des Sciences, cette bibliographie allait à cent trois numéros; depuis vingt-deux ans, elle a crû de près d'un millier. On ne5 sait plus.—Le savez-vous vous-même? Dans trente recueils français, suédois, anglais, allemands, américains, vous avez répandu des notes, des mémoires et des articles; chez un éditeur, trois volumes; chez un autre, cinq; chez un troisième, vingt—et, comme Ruy Gomez, j'en passe. Votre production a été colossale et, de la façon dont régulièrement elle s'accroît, l'on dirait que c'est sans effort;—ce n'est point dire, sans travail.

Ce travail a fait votre vie: elle y tient toute. Lorsque, de cette place, M. Villemain en 1827, M. Guizot en 1857 accueillaient vos illustres devanciers Fourier et Biot, ils avaient à retracer leurs existences pleines d'incidents, de traverses et de périls, à évoquer l'expédition d'Égypte à laquelle tous deux avaient pris part, et leur carrière s'illuminait de l'éblouissante lumière qu'avait dispensée aux hommes de son temps l'Homme des Ages. Vous, Monsieur, votre vie n'a point connu d'autre gloire que la vôtre; le cours de vos ans s'est développé sans secousses et sans participation dont je veuille parler à la politique; vous n'avez point eu jusqu'ici d'autre histoire que votre bibliographie. Vous êtes né, vous avez vécu, vous vivrez, vous mourrez mathématicien; la fonction vitale de votre cerveau est d'inventer et de résoudre des cas en mathématiques; tout chez vous s'y rapporte. Lors même que vous paraissez délaisser les mathématiques pour la métaphysique, elles vous fournissent les exemples, les raisonnements, parfois les paradoxes. Elles sont en vous, elles vous possèdent, vous accaparent et vous obsèdent; dans le repos, votre cerveau poursuit mécaniquement son travail, sans que vous ayez à en prendre conscience; le fruit se forme, grossit, mûrit, se détache et vous nous avez dit votre étonnement à le trouver sous votre main si parfaitement à point. Vous réalisez un exemplaire admirable du type mathématicien. Depuis Archimède, il est classique, mais légendaire. Rarement historien aura trouvé une aussi propice occasion d'en noter sur le vif les caractères externes, et, à défaut de rendre compte de vos œuvres, n'est-ce point le cas de rechercher comme se manifeste le génie mathématique, s'il résulte de l'atavisme, s'il est le produit d'une culture spéciale, à quel moment et dans quelles conditions il se fait jour, à quelle époque de la vie il est le plus actif et le plus éclatant.

Ne m'en veuillez pas si je me suis enquis de vous près de vos proches, de vos camarades et de vos disciples; si, ayant obtenu d'eux tous des confidences qui témoignent de quelle tendresse, de quel intérêt et de quelle admiration vous êtes entouré, je m'efforce de les rendre dans leur sincérité et de tracer de vous un portrait qui, en l'absence d'une biographie exacte, aura du moins l'avantage de la priorité. L'histoire, par d'autres voies et pour d'autres buts, tend comme la science à la vérité. Nourrie elle aussi d'hypothèses, dès qu'elle essaie de pénétrer l'intime des êtres, elle doit, lorsqu'elle rencontre un homme tel que vous qui lui6 appartient et lorsqu'elle peut l'étudier vivant et sur nature, le regarder sans complaisance, tracer d'après lui le croquis le plus serré, ne serait-ce que pour fournir des matériaux au peintre qui tracera le portrait définitif.

Vous êtes né, il n'y a guère plus d'un demi-siècle, dans cette chère et glorieuse Lorraine qui a fourni à notre Compagnie tant d'hommes remarquables en des genres si divers: au lendemain des jours où elle fut cruellement éprouvée par la mort de Theuriet, de Gebhart et du cardinal Mathieu, vous arrivez attestant par l'exercice d'un génie différent l'inépuisable fécondité de votre terre natale.

Vous sortez d'une race ancienne longtemps établie à Neufchâteau et depuis un siècle à Nancy. De votre nom—Pontcaré, plutôt que Poincaré, car avez-vous dit, on imagine un pont carré, mais non un point—il y eut des magistrats, des savants, des avocats, des soldats, comme ce commandant Poincaré, votre grand-oncle, dont M. Chuquet a narré les tendresses maritales et la lugubre aventure, comme cet autre Poincaré, aussi commandant, mort en l'an IX au service de la République, dont le Premier Consul recommandait lui-même au ministre de la Guerre, pour une place dans ses bureaux, le fils, brigadier au 7e hussards, «ayant perdu une jambe et une cuisse dans une des dernières batailles qui ont illustré la dernière campagne du Rhin».

Votre grand-père était pharmacien; c'est à Nancy, dans sa maison, en face du Palais ducal, que vous êtes venu au monde; et cette maison, solide, massive et sans ornement, est accostée d'un portail presque monumental dont les montants à bossages vermiculés supportent un fronton entrecoupé où brûle un pot de feu. D'aucuns y trouveraient un présage: le portail est la poésie; la maison est la prose; elle donne une impression de simplicité bourgeoise et de vie assise qui, non plus, n'est pas négligeable. Votre père, médecin, fut un savant consciencieux, un praticien distingué, et la Faculté de Nancy où il fit toute sa carrière le considérait comme un maître dont elle était justement fière, en même temps que la population laborieuse saluait en lui son bienfaiteur. Il fut de ces hommes qui, s'étant, par une noble curiosité, voués à l'art le plus passionnant et le moins sûr, l'exercent avec un désintéressement admirable et se trouvent assez récompensés s'ils ont eu le bonheur de sauver des vies humaines. Pour l'honneur de notre nation, ils sont beaucoup de cette espèce en France, mais bien peu ont su, comme le docteur Poincaré, suffire à une profession aussi absorbante, au travail du laboratoire, à l'assiduité de l'enseignement, sans priver leur curiosité de voyages éperdus à travers l'Europe.

Votre mère était de ces femmes alertes, vives, constamment remuantes et toujours occupées, dont l'esprit d'ordre, d'organisation et de commandement régit la maisonnée. Elle aussi était Lorraine, d'une vieille famille7 meusienne, aux goûts terriens, attachée et rivée au sol; les garçons, si brillamment qu'ils eussent débuté dans une carrière, n'avaient point de cesse qu'ils ne fussent revenus au bercail pour y vivre, chassant sur leurs terres ou en surveillant la culture; deux de vos grands-oncles joignaient à ces goûts ruraux celui de la géométrie; ils en faisaient leurs délices et s'extasiaient au tableau noir. Votre mère n'y perdait point son temps, ayant assez à faire de suffire à toutes les besognes qui sont les devoirs et qui, comprises ainsi, deviennent des joies. Ah! quelles admirables productrices d'énergie vitale ces femmes de France, droites et sagaces, économes et avisées, souveraines en leur royaume et dédaigneuses d'autres conquêtes, par qui se reforme constamment la richesse nationale et se transmet aux descendants le sens de la patrie. Mais de nos Lorraines, celles d'au delà toutes pareilles, Dieu merci, à celles d'en deçà, un de nos confrères qui les connaît de race vient de parler avec tant de charme attendri et de pieuse sérénité, que je ne saurais m'y hasarder après lui.

Dans la maison familiale vous trouviez un oncle tout frais sorti de l'École Polytechnique—et dans les Ponts! De quel prestige ils sont entourés ces jeunes hommes qui, par un effort quelquefois excessif de leur cerveau, arrivent entre les meilleurs de leur génération à se classer les premiers et de combien de vocations décevantes leur exemple fut l'occasion! Mais, chez vous, Monsieur, la vocation n'avait que faire de l'exemple: vous étiez prédestiné aux mathématiques. L'aptitude, dans votre famille paternelle et maternelle, s'en transmet en ligne collatérale comme le trône dans la maison d'Osman, et, doublement héritier des dons avunculaires, vous auriez, me dit-on, désigné un de vos neveux pour cette précieuse succession.

Vous n'avez guère attendu pour révéler votre vocation et l'on vous citera justement comme le plus précoce des enfants prodiges. Vous aviez neuf mois, lorsque, pour la première fois, la nuit venant, vos yeux se portèrent sur le ciel. Vous y avez vu s'allumer une étoile. A votre mère, qui était aussi votre nourrice, vous avez montré avec obstination ce point qui brillait. Vous en avez découvert un deuxième, et ce fut le même étonnement et ce cri de votre raison: Enco lo là-bas! Au troisième, au quatrième, pareil cri de joie et pareil enthousiasme; il fallut vous coucher, tant vous vous excitiez à chercher des étoiles. Ce soir-là, vous aviez pris votre premier contact avec l'infini et vous aviez inauguré vos cours d'astronomie: on ne saurait professer plus jeune.

On m'a dit que vous aviez été un enfant tendre, éveillé, charmant et un enfant choyé et adoré; une terrible maladie que vous fîtes à l'âge de cinq ans et qui donna à craindre que jamais plus vous ne pussiez parler, vous laissa, en même temps que plus doux, craintif et un peu gauche, en sorte que vous redoutiez les jeux bruyants des garçons et que vous vous plaisiez8 de préférence dans la société de votre petite sœur. Je n'imagine point que les sports violents aient dû jamais vous tenter, ni que vous y fussiez devenu habile. Néanmoins, vous donnâtes des chasses à la très grosse bête. Dès que vous aviez su lire, votre curiosité s'était éveillée à ces livres de vulgarisation scientifique qui, dans l'éducation réaliste, ont remplacé les contes de fées. Vous y aviez pris un plaisir extrême et vous trouviez une grandiose horreur à assister aux bouleversements cosmiques et à combattre les animaux antédiluviens. Jadis, on courait sur les traces des Princes charmants pour éveiller les Belles au Bois-dormant. A présent, l'enfance ne doit plus connaître ces personnages falots; elle doit se contenter de ceux dont on a découvert les squelettes. Laissez-moi vous le demander: des êtres qui ont effectivement vécu et dont nous ne savons ni ne saurons jamais rien, sinon qu'ils vécurent, et des êtres qui n'ont vécu que dans les rêves de l'humanité, mais que celle-ci, au cours des âges, a gratifiés de tant de beauté, d'agrément et de poésie, lesquels sont les plus réels, lesquels apportent le plus de lumière, de consolation et de joie?—Mais vous n'étiez point pour vous asseoir au fauteuil de Charles Perrault.

Ce fut à la maison paternelle que vous reçûtes d'un instituteur émérite, l'ami de votre famille, une première teinture des choses; il ne vous demandait point des devoirs écrits; il conversait avec vous, vous parlant de tout pêle-mêle; cet enseignement encyclopédique était si bien approprié à votre nature que, à votre entrée au collège, vous prîtes d'emblée la première place; mais ce jeu serait dangereux avec des enfants différemment doués. Vous, votre mémoire était et elle est encore auditive plus que visuelle. Les mots prononcés s'y gravent. Au retour d'un voyage, si long soit-il, vous dites les noms de toutes les stations traversées,—pourvu qu'on les ait criés devant votre wagon. Il y a mieux; un signe se présente à votre souvenir comme un son. Le soir vous pouvez réciter les numéros de tous les fiacres que vous avez croisés dans la journée, mais vous entendez, vous ne voyez pas les chiffres. Ce n'est pas là une des moindres originalités de votre cerveau et, pour que je m'enhardisse à la noter, il ne faut rien moins que le témoignage concordant de ceux qui vous connaissent le plus intimement.

Au lycée de Nancy, vous étiez supérieur à vos condisciples dans toutes les facultés et vous paraissiez si bien doué pour les Lettres, qu'un de vos professeurs, qui est un de nos meilleurs historiens, eût souhaité vous attirer vers nos études; mais lorsque, en quatrième, vous ouvrîtes un traité de géométrie, c'en fut fait. Votre maître émerveillé courut chez votre mère et lui dit: «Madame, votre fils sera mathématicien». Elle ne fut point très effrayée.

Les Mathématiques, dès que vous en eûtes fait la connaissance, vous9 prirent et vous tinrent. Elles sont des maîtresses tenaces et qui ont ceci de particulier qu'elles impriment à leurs amants des allures sensiblement pareilles: le mathématicien est un marcheur. La marche semble lui être nécessaire pour activer sa pensée et, dans son ambulation, certains gestes machinaux par lesquels il occupe ses doigts, paraissent les indispensables auxiliaires d'un travail intellectuel qui le rend indifférent et même étranger au monde extérieur. Un jour, à la promenade, vous vous aperçûtes soudain que vous portiez à la main une cage en osier. Vous fûtes prodigieusement surpris. Où, quand, comment, votre main avait-elle cueilli cette cage qui était neuve et heureusement vide? Vous n'en aviez aucunement conscience et, retournant sur vos pas, vous allâtes jusqu'à ce que vous eussiez retrouvé sur un trottoir l'étalage du vannier que vous aviez innocemment dépouillé. De telles distractions vous sont familières; elles deviendront, si elles ne le sont déjà, célèbres autant que celles qu'on attribue à Lagrange, à Kant, à Ampère. Il est pire compagnie.

Vous étiez pourtant, à vos heures, un enfant aimant la joie et disposé à se divertir, mais c'était à des jeux que vous inventiez. Vous jouiez au chemin de fer ou à la diligence, la carte ou l'indicateur à portée, et vous appreniez ainsi la géographie. Vous mettiez l'histoire en drames ou en comédies: à treize ans, vous avez rimé une tragédie en cinq actes et vous ne seriez point Lorrain, si l'héroïne n'en eût été Jeanne d'Arc. Les charades même eurent pour vous des attraits. Ne sont-ce pas des problèmes?

La guerre interrompit ces jeux. Vous aviez seize ans; votre âge ni votre santé ne vous permettaient de vous mêler aux combattants, mais vous avez cherché à vous rendre utile; chaque jour, vous accompagniez votre père à l'ambulance et vous lui serviez de secrétaire; vous vous attachiez à savoir les nouvelles avec une telle ardeur que, pour les lire dans les seuls journaux que vous puissiez vous procurer, vous apprîtes l'allemand. La guerre a dû vous mûrir; elle a certainement tracé sur vous; elle n'a point tranché dans votre vie. Aux hommes des générations précédant la vôtre, elle a imposé par un retour sur eux-mêmes une conversion définitive. Vous avez lu les vers que Sully Prudhomme a intitulés: Repentir. Il y a confessé l'erreur où l'avait conduit la générosité de son cœur et où l'avaient entretenu les fallacieux discours des rhéteurs; pour des desseins minables ou honteux, ceux-ci s'efforcent à bercer de mots sonores la mollesse d'un peuple qui s'éveille roulant à l'abîme, s'écrie alors qu'il fut trahi, mais ne sait point distinguer quels furent les traîtres. Ainsi Sully Prudhomme avait détesté la guerre et quelque peu dédaigné les soldats. Il apprit par sa propre expérience que n'est point soldat qui veut, qu'autre chose est tenir des discours philosophiques et asservir journellement son être, physique et moral, aux insipides corvées et à la totale oblation; il apprit—et cette leçon coûta cher—que pour posséder le10 droit de penser, il faut avoir conquis le droit de vivre; que c'est une niaiserie qui ferait rire, si elle ne préparait tant de désespoirs, de professer l'humanitarisme dans une Europe tout en armes; et que, pour inélégante que la solution paraisse, il n'en est qu'une, dès qu'un peuple entend maintenir sa nationalité, garder son indépendance, continuer sa race, posséder sa terre, parler sa langue, c'est qu'il se rende assez fort pour les défendre.

Vous avez vécu la vie, Monsieur, sous le joug de l'étranger victorieux. C'est dans une ville occupée par l'ennemi que vous avez repris et poursuivi vos études. Vous y avez obtenu tous les succès, mais, ce qui pour vous en a doublé la joie, leur proclamation publique a coïncidé avec l'évacuation de Nancy; comme l'a raconté notre cher et regretté confrère Émile Gebhart, ce fut dans une salle qu'emplissait l'allégresse de la délivrance que vous reçûtes vos dernières couronnes scolaires. Vous étiez le lauréat champion, natif du lieu et dix fois nommé. Vous l'emportiez en mathématiques sur tous vos concurrents de Paris et des départements; il ne tenait qu'à vous d'entrer, le deuxième de la promotion, à l'École forestière, autre gloire de Nancy; vous résistâtes, n'ayant voulu qu'y mettre une carte de visite: vous vous méfiiez des fallacieuses dryades qui se plaisent à égarer les gens distraits.

L'année suivante, vous vous présentiez en même temps à l'École Polytechnique et à l'École Normale: ici vous fûtes reçu le cinquième, là le premier. Pour laquelle des deux grandes écoles opteriez-vous? Ce qui vous détermina, plus même que les souvenirs familiaux, que la tentation de l'uniforme et l'éclat des galons de sergent-major, ne fut-ce pas, dites, la voix gémissante de la patrie mutilée qu'on entendait alors et qu'on écoutait? Vous n'êtes pourtant pas allé jusqu'à suivre la carrière militaire. Votre vocation scientifique s'était affirmée à l'École d'une si brillante façon que l'on en pouvait attendre une autre forme de gloire; votre séjour et votre majorat sont légendaires et les promotions s'en transmettent pieusement les histoires. On raconte que vous avez suivi vos cours, au moins de mathématiques, sans prendre une note, sans regarder, ni même recueillir les feuilles autographiées qui reproduisent l'exposé du professeur. Votre méthode consistait à classer les résultats établis, à en étudier l'enchaînement, sans vous préoccuper autrement des démonstrations, sûr que vous étiez d'en trouver d'autres, si vous aviez oublié celles qu'on enseignait: lors de votre examen d'entrée, à la planche même, n'aviez-vous pas imaginé une solution inédite au problème qui vous était posé? Pour travailler, vous ne restiez pas dans le casernement, vous promeniez votre cerveau par les corridors et, au lieu d'une plume, d'un crayon ou d'un bâton de craie, votre main pétrissait un trousseau de clefs—vos forceps à idées.

11La supériorité que vous aviez prise en mathématiques était telle que, malgré votre inaptitude à toute pratique: manipulations, dessin linéaire, dessin d'imitation, vous fûtes, à l'examen de sortie classé le second et vous entrâtes à l'École des Mines. Vous deviez y trouver des agréments de plus d'un genre. D'abord, au quartier latin, vous fîtes ménage avec un de vos cousins qui préparait sa licence ès lettres et sa licence en droit: destiné dans des carrières différentes de la vôtre à conquérir un rang distingué, également remarqué pour la lucidité de son esprit et pour l'élégance de sa parole, doué d'une activité de travail et d'un sens pratique qui lui permettent de rechercher et de proposer des solutions opportunes aux questions les plus diverses, ouvrant des vues sur quantité de sujets, écrivant avec le même agrément qu'il parle, sympathique, séduisant et plein de ressources, il fut pour vos communs loisirs l'interlocuteur rêvé. Avec lui, dans la pratique du Péripatétisme—qui fut peut-être moins une école philosophique qu'un état physique d'être philosophe et mathématicien—vous menâtes ces randonnées studieuses où vous discutiez de théories philosophiques associées déjà indissolublement dans votre esprit, comme dans celui des antiques, aux théories mathématiques.

Puis, ayant hérité de votre père un goût passionné pour les voyages, vos missions d'élève ingénieur en Autriche et en Suède vous parurent un temps béni. Ce n'est point que, connaissant vos distractions, votre mère vous vît partir sans inquiétude. Pour vous rappeler que vous aviez un portefeuille et, s'il tombait, pour qu'il éveillât votre attention, elle y avait cousu des petits grelots. Cela réussit à souhait, et, au retour, outre le portefeuille, vous rapportiez dans votre valise un drap de lit autrichien que, un matin, croyant prendre votre chemise, vous aviez soigneusement plié et enfermé. Ce sont les joies de l'arrivée. Vous n'en êtes pas moins un excellent voyageur qui voit tout ce qui mérite d'être vu et qui retient jusqu'aux plus insignifiants détails. Lorsque par la suite vous avez parcouru l'Europe entière, partie de l'Afrique et des Amériques, vos compagnons ont remarqué comme vous étiez à la fois renseigné sur tout ce qui était de l'histoire et de la statistique et curieux des mœurs, des habitudes et des êtres. Ils assistaient pourtant à des promenades où vous sembliez occupé de tout autre chose, et que vous n'interrompiez que pour tracer rapidement des signes sur des papiers. Par une surprenante faculté de dédoublement, en même temps que vous agitez de hautes spéculations mathématiques, vous êtes apte à recevoir des impressions extérieures qui pénètrent et s'incrustent dans votre mémoire; seulement votre esprit, qui suffit à ces deux opérations, paraît renoncer à s'exercer encore sur le matériel de la vie.

Lorsque vous fûtes nommé ingénieur des Mines à Vesoul, vous ne manquâtes point de remplir vos fonctions avec zèle et assiduité; une explosion12 de grisou ayant fait seize victimes, vous ne regardâtes pas au danger et vous descendîtes dans la mine; on annonça même que vous y aviez péri; mais l'Administration n'était pas votre affaire: vous retournâtes, et tout le monde s'en trouva bien, à votre objet, la science pure. Docteur en 1879, vous fûtes, la même année, mis en service détaché et chargé de cours à la Faculté des Sciences de Caen.

En 1880, l'Académie des Sciences avait mis au concours, comme sujet du grand prix de mathématiques, la théorie des équations différentielles. Lorsque l'illustre M. Hermite présenta son Rapport, il mentionna un mémoire portant pour devise: Non inultus premor, dont il invita l'auteur anonyme à persévérer dans une voie qui paraissait féconde. La devise était celle de Nancy; l'auteur c'était vous; mais votre mémoire n'était qu'une ébauche; vous pressentiez seulement à ce moment les résultats que vous alliez tantôt obtenir et qui, au mois de février 1881, éclatèrent—c'est le seul mot exact, dit un de vos admirateurs—dans les Comptes rendus de l'Académie des Sciences. De semaine en semaine, avec les notes qui se succédaient, votre découverte prenait plus de précision et d'ampleur, et cela dura près de deux années. Ce que vous apportiez: «c'était le couronnement de l'œuvre de Cauchy et de Riemann, c'était la représentation des coordonnées de toute courbe algébrique par des fonctions uniformes, l'intégration des équations différentielles linéaires à coefficients algébriques, c'était une perspective nouvelle et immense ouverte en Analyse».

Cette découverte a constitué pour la Science française une victoire véritable. Depuis quelques années, les géomètres allemands tournaient autour de la maison sans en trouver la porte. Vous l'aviez déterminée et au même moment ouverte. C'est un «rapt», a-t-on dit, que vous avez fait à l'Allemagne, et le commentaire qu'on donne à ce mot explique votre rôle et en caractérise l'importance.

Les mathématiciens d'outre-Rhin, élevés et grandis dans l'habituelle société de maîtres souvent éminents, développent leur culture par la communauté des conversations et des réflexions et s'efforcent solidairement, sous l'œil bienveillant du professeur dont ils forment en quelque façon la famille; de là, le nombre et la qualité des géomètres du deuxième et du troisième ordre; mais, pour ceux du premier, le séminaire ne sert de rien: les hommes de génie, en mathématiques comme ailleurs, se forment seuls; c'est ainsi que vous ne procédiez de personne, que vous n'apparteniez à aucune école—et vous n'aviez pas trente ans.

Cela, paraît-il, n'est point pour étonner. Au don natif, la jeunesse semble ajouter une faculté de vigoureuse abstraction, un pouvoir de creuser la pensée qui diminue plutôt avec l'âge. Tous les grands géomètres ont été précoces: Gauss, Abel, Jacobi, Cauchy, Riemann avaient accompli13 la partie maîtresse de leur œuvre ou fait connaître leurs idées fondamentales avant qu'ils eussent trente ans. Vous étiez dans la bonne moyenne: vous en aviez vingt-sept.

De là, je n'ai point à vous suivre dans la carrière que vous avez parcourue; professeur à l'Université de Paris et à l'École Polytechnique, vous avez donné à vos leçons un éclat incomparable et si, parmi vos auditeurs, beaucoup ne parvenaient point à vous suivre, tous s'accordaient à proclamer votre étonnante supériorité; vous avez été, à trente-deux ans, élu par l'Académie des Sciences; vous avez été agrégé à la plupart des Sociétés scientifiques des deux Mondes; vous avez reçu tous les honneurs que pouvait souhaiter votre légitime ambition. Votre nom, sortant du cercle restreint où l'on peut apprécier vos travaux, est devenu illustre devant la nation qui s'en glorifie—et cette illustration, vous ne la devez qu'à vous, vous ne relevez de personne, vous n'avez suivi aucun maître, vous n'êtes d'aucune école, vous êtes vous—et c'est assez.

Pareillement, lorsque vous entreprenez la critique de la Science même, vous en faites votre personnelle affaire, et, sans adopter aucune tradition, sans vous plier à aucune formule, vous marchez dans votre indépendance et parce qu'il plaît ainsi à votre esprit. Vous le laissez même courir, et si vite, et par de tels bonds, qu'il faut pour le suivre combler les vides et remplir les intervalles; mais vous êtes ainsi. Original en mathématiques, vous le restez en cette branche de la philosophie; vous y appliquez, en même temps, un goût développé pour la psychologie, une aptitude rare à observer sur vous-même les phénomènes physiologiques, et cette habitude du travail mathématique qui organise la précision et, en décuplant la subtilité, relie les arguments par des chaînes qui semblent imbrisables. N'étant arrêté par rien que vous acceptiez de confiance et a priori, vous élevez votre doute en face de cette science officielle et vous en sondez le néant. Ainsi votre œuvre est double: par les mathématiques, vous dressez à la vérité scientifique un temple accessible seulement à quelques rares initiés, et, par vos engins philosophiques, vous faites sauter les chapelles autour desquelles s'attroupent, pour célébrer les mystères d'une prétendue religion de la science, des foules rationalistes et libérées qui, par un certificat d'études primaires, ont acquis le droit de ne croire à rien qui ne leur ait été démontré. Ah! Monsieur, quel massacre vous faites dans ces démonstrations! Rien n'échapperait à la rudesse des coups que vous portez, si, de temps à autre, vous ne vous arrêtiez pour vous gausser de vos victimes ou si, pris d'une sorte de remords, vous ne vous amusiez à paraître recoller les membres que vous avez brisés. Les axiomes que la sagesse des âges semblait avoir posés ne sont plus, où vous avez passé, que des définitions; les lois, que des hypothèses, et de ces hypothèses, en même temps que le rôle essentiel, vous prouvez la médiocre durée, comme, de ces définitions,14 en même temps que la commodité, la fragilité. Que reste-t-il? Rien ou si peu que rien, et les plus précieuses idoles de la religion primaire s'en vont, dans des cieux dépeuplés, rejoindre les astres éteints.

Est-ce à dire, Monsieur, que vous doutiez plus de la Science que de la Vérité? Ni de l'une ni de l'autre: mais celle-ci s'éloigne constamment devant celle-là et, à proportion que l'homme franchit une étape, les espaces qu'il devra parcourir reculent devant lui; par delà le steppe dont son regard embrasse l'étendue, d'autres l'attendent, et toujours d'autres, car celui-là seul est assuré d'arriver à son but qui en est resté au rudiment—et qui l'a appris par cœur....

Institut. 1909.-3, F.-D., in-4, p. 38.

Réponse de M. GASTON DARBOUX au Discours prononcé par M. HENRI POINCARÉ au Jubilé de M. GASTON DARBOUX.

Mon cher Poincaré,

Les éloges que vous donnez à mes travaux portent la marque de votre bienveillance naturelle; ils me comblent de joie comme venant de celui que je considère comme le plus grand géomètre vivant. Je me souviendrai toujours des charmantes relations que j'ai eues avec vous en qualité de doyen. On vous trouvait toujours disposé à rendre service à un collègue, à accomplir ponctuellement les tâches, quelquefois ingrates, qu'on vous confiait. Avec des hommes tels que vous, la Faculté allait toute seule. Il y a plus, lorsque la considération du bien du service m'a déterminé à vous demander de changer d'enseignement, vous l'avez fait sans hésitation, une première fois pour prendre la chaire de Physique mathématique, une seconde fois pour passer à celle de Mécanique Céleste. Et ainsi, j'ai aujourd'hui la joie et l'orgueil de penser que j'ai pu avancer le moment où, en même temps que grand géomètre, vous avez été proclamé par tous grand physicien et grand astronome. Pourquoi la Faculté ne possède-t-elle pas aussi une chaire de philosophie scientifique? j'aurais pu vous demander aussi de l'occuper.

G D, 21 janv. 1912, p. 480-481.

R I E, v. 59, 15 fév. 1912, p. 120.

15

GRADES. FONCTIONS. TITRES HONORIFIQUES. PRIX. DÉCORATIONS.

Jules-Henri POINCARÉ,
Né à Nancy, le 29 avril 1854.

Élève au Lycée de Nancy, octobre 1862-août 1873.

Élève à l'École Polytechnique, admis le premier le 14 octobre 1873.

Élève Ingénieur à l'École nationale supérieure des Mines, nommé le 19 octobre 1875.

Bachelier ès Lettres, reçu le 5 août 1871.

Bachelier ès Sciences, reçu le 7 novembre 1871.

Licencié ès Sciences, reçu le 2 août 1876.

Docteur ès Sciences mathématiques de l'Université de Paris, reçu le 1er août 1879.

Ingénieur ordinaire des Mines, nommé le 26 mars 1879, pour prendre rang à dater du 1er avril 1879.

Chargé du Service du sous-arrondissement minéralogique de Vesoul, et attaché, en outre, au Service du contrôle de l'exploitation des chemins de fer de l'Est, du 3 avril 1879 au 1er décembre 1879.

Attaché au Service du contrôle de l'exploitation des chemins de fer du Nord, du 24 mars 1882 au 17 novembre 1884.

Ingénieur en chef des Mines, nommé le 22 juillet 1893, pour prendre rang à dater du 1er juillet 1893.

Inspecteur général des Mines, nommé le 16 juin 1910.

Mis par le Ministre des Travaux publics à la disposition du Ministre de l'Instruction publique pour être Chargé de Cours à la Faculté des Sciences de Caen, le 1er décembre 1879.

Chargé du Cours d'Analyse à la Faculté des Sciences de Caen, nommé le 1er décembre 1879.

Autorisé par le Ministre des Travaux publics à accepter une chaire de Maître de Conférences à la Faculté des Sciences de l'Université de Paris, le 21 octobre 1881.

Maître de Conférences d'Analyse à la Faculté des Sciences de l'Université de Paris, nommé le 29 octobre 1881.

Chargé du Cours de Mécanique physique et expérimentale à la Faculté des Sciences de l'Université de Paris, nommé le 16 mars 1885.

16

Professeur de Physique mathématique et de Calcul des Probabilités à la Faculté des Sciences de l'Université de Paris, nommé le 22 août 1886.

Professeur d'Astronomie mathématique et de Mécanique céleste à la Faculté des Sciences de l'Université de Paris, nommé le 5 novembre 1896.

Répétiteur d'Analyse à l'École Polytechnique, nommé le 6 novembre 1883.—Démissionnaire le 1er mars 1897.

Professeur d'Astronomie générale à l'École Polytechnique, nommé le 1er octobre 1904.

Professeur honoraire à l'École Polytechnique, nommé le 3 avril 1908.

Professeur d'Électricité théorique à l'École professionnelle supérieure des Postes et des Télégraphes, à Paris, nommé le 4 juillet 1902.

Sur la demande des Curateurs de la Fondation Wolfskehl, a consenti à faire six Conférences sur diverses questions de Mathématiques, du 22 au 28 avril 1909.

Membre du Comité d'admission à l'Exposition universelle internationale de 1900, à Paris, pour la Classe 3 (Enseignement supérieur), nommé par le Ministre du Commerce et de l'Industrie le 7 octobre 1897.

Membre de la Commission de patronage de l'École pratique des Hautes-Études, à Paris, nommé le 9 décembre 1897.

Membre du Conseil de l'Observatoire national de Paris, depuis le 8 novembre 1900; Vice-Président de ce Conseil, depuis le 27 mars 1908.

Membre du Conseil de perfectionnement de l'École Polytechnique, depuis le 14 octobre 1901.

Membre du Conseil de l'Observatoire national d'Astronomie physique de Meudon, nommé le 2 mars 1907.

Membre du Conseil de perfectionnement de l'École professionnelle supérieure des Postes et des Télégraphes, à Paris, nommé le 5 mai 1902.

Membre du Comité de l'Exploitation technique des Chemins de fer, nommé le 27 mai 1911.

Membre de la Commission supérieure d'Enseignement technique et professionnel des Postes et Télégraphes, nommé le 11 juillet 1911.

Membre de l'Académie des Sciences (Institut National de France), à Paris, élu, dans la Section de Géométrie, le 31 janvier 1887.

Président de l'Académie des Sciences en 1906; Vice-Président en 1905.

Membre de l'Académie Française (Institut National de France), à Paris, élu le 5 mars 1908, reçu le 28 janvier 1909.

Directeur de l'Académie Française, du 1er janvier au 1er avril 1912.

Membre du Bureau des Longitudes, à Paris, nommé le 4 janvier 1893.

Président du Bureau des Longitudes en 1899, 1909 et 1910.

Membre étranger de la Société Royale des Sciences de Göttingue, élu le 26 novembre 1892; élu membre correspondant le 3 mai 1884.

Membre étranger ordinaire de la Société Royale des Sciences d'Upsal, élu le 27 mai 1885.

Membre étranger de l'Académie Royale des Lincei, à Rome, élu le 7 septembre 1888.

Membre correspondant de l'Académie Royale des Sciences de l'Institut de Bologne, élu le 21 décembre 1890.

Membre étranger de la Société Royale de Londres, élu le 26 avril 1894.

Membre honoraire étranger de la Société Royale d'Édimbourg, élu le 6 mai 1895.

Membre correspondant de l'Académie impériale des Sciences de Saint-Pétersbourg, élu le 29 décembre 1895 (v. s.).

17

Membre correspondant de l'Académie Royale des Sciences de Prusse, à Berlin, élu le 30 janvier 1896.

Membre correspondant de l'Académie Royale des Sciences d'Amsterdam, élu le 11 mai 1897.

Membre étranger de l'Académie Royale des Sciences physiques et mathématiques de Naples, élu le 20 novembre 1897.

Membre correspondant de l'Institut Royal Vénitien des Sciences, Lettres et Arts, à Venise, élu le 27 février 1898.

Membre associé étranger de l'Académie Nationale des Sciences de Washington, élu le 22 avril 1898.

Membre étranger de la Société Royale des Sciences de Danemark, à Copenhague, élu le 21 avril 1899.

Membre étranger de l'Académie Royale des Sciences de Suède, à Stockholm, élu le 6 juin 1900.

Membre correspondant de l'Académie Royale des Sciences de Bavière, à Munich, élu le 18 juillet 1900.

Membre associé de l'Académie Royale des Sciences, des Lettres et des Beaux-Arts de Belgique, à Bruxelles, élu le 15 décembre 1902.

Membre étranger de l'Académie Royale des Sciences de Turin, élu le 14 juin 1903.

Membre honoraire de l'Académie Royale des Sciences de Vienne, élu le 7 août 1908, élu Membre correspondant le 3 août 1903.

Membre étranger de l'Académie Royale des Sciences de Hongrie, à Budapest, élu le 23 mars 1906.

Membre honoraire de l'Académie Royale d'Irlande, à Dublin, élu le 16 mars 1907.

Membre d'honneur étranger de l'Académie Nationale de Roumanie, à Bucarest, élu le 11 juin 1909.

Membre correspondant de l'Académie des Sciences, des Arts et des Belles-Lettres de Caen, élu le 24 juin 1881.

Membre associé lorrain de l'Académie de Stanislas, à Nancy, élu le 17 février 1893.

Président du Congrès des Mathématiciens tenu à Paris du 6 au 12 août 1900.

Vice-Président du Bureau et Secrétaire général du Congrès de Physique tenu à Paris du 6 au 12 août 1900.

Président de la 36e Assemblée générale de la Société amicale de secours des anciens Élèves de l'École Polytechnique, le 25 janvier 1903.

Président de la Commission des finances de l'Association Géodésique internationale, élu à la Conférence générale tenue à Budapest du 26 au 28 septembre 1906; élu Membre de cette Commission à la Conférence générale tenue à Copenhague du 4 au 13 août 1903.

Président de la Société mathématique de France, en 1886 et en 1900.

Président de la Société astronomique de France, en 1901-1902 et en 1902-1903.

Président de la Société Française de Physique, en 1902.

Docteur honoraire de l'Université de Cambridge, élu le 12 juin 1900.

Docteur honoris causa en Mathématiques de l'Université Royale Frédéricienne de Christiania, élu le 6 septembre 1902.

Docteur honoraire en Philosophie de l'Université de Kolozsvár (Hongrie), élu le 8 janvier 1903.

Docteur honoraire en Sciences de l'Université d'Oxford, élu le 24 juin 1903.

Docteur honoraire en Loi de l'Université de Glascows, élu le 23 avril 1907.

18

Docteur honoris causa de l'Université libre de Bruxelles, nommé le 19 novembre 1909.

Docteur honoris causa en Philosophie de l'Université de Stockholm, nommé le 7 décembre 1909.

Docteur honoris causa en Médecine et en Chirurgie de l'Université de Berlin, nommé le 12 octobre 1910.

Membre honoraire de la Société philosophique de Cambridge, élu le 24 novembre 1890.

Membre du Conseil directeur du Cercle mathématique de Palerme, élu le 18 janvier 1891.

Membre honoraire de la Société mathématique de Londres, élu le 14 avril 1892.

Membre honoraire de la Société de Littérature et de Philosophie de Manchester, élu le 26 avril 1892.

Membre étranger de la Société Hollandaise des Sciences de Harlem, élu le 21 mai 1892.

Membre associé de la Société Royale astronomique de Londres, élu le 9 novembre 1894.

Membre de la Société philosophique Américaine, à Philadelphie, élu le 19 mai 1899.

Membre étranger de la Société Italienne des Sciences (dite des Quarante), à Rome, élu le 2 janvier 1900.

Membre honoraire de la Société des Sciences de Finlande (Societatis Scientiarum Fennicæ), à Helsingfors, élu le 15 avril 1903.

Membre honoraire de la Société mathématique de Kharkow, élu le 12 octobre 1903 (v. s.).

Membre honoraire de la Société physico-mathématique de Kasan, élu le 14 février 1904 (v. s.).

Membre honoraire de la Société des Sciences physiques et médicales d'Erlangen, élu le 27 juin 1908.

Membre du Comité d'organisation du Congrès international de Bibliographie des Sciences mathématiques (Exposition universelle internationale de 1889), nommé par le Ministre du Commerce et de l'Industrie le 9 novembre 1888.

Président du Bureau du Comité d'organisation du Congrès international de Bibliographie, élu le 16 novembre 1888.

Président du Congrès international de Bibliographie, élu le 16 Juillet 1889.

Président du Bureau de la Commission permanente internationale du Répertoire bibliographique des Sciences mathématiques, élu le 19 juillet 1889.

Président du Comité de rédaction du Bulletin Astronomique publié par l'Observatoire de Paris, nommé le 4 janvier 1897.

Pour la publication de l'International Catalogue of Scientific Literature: Membre du Conseil international, élu le 12 juin 1900; Membre du Comité exécutif, élu le 12 décembre 1900.

Rapporteur de la Commission du IIIe Concours du Prix Lobatschewskij décerné le 14 février 1904 (v. s.).

Membre de la Commission de la Médaille Guccia, décernée en 1908.

Membre du Comité d'honneur de la Ligue pour la Culture Française, fondée par M. Jean Richepin le 3 juin 1911.

Prix d'honneur au Concours général en Mathématiques élémentaires (Lycée de Nancy), le 12 août 1872.

19

Prix d'honneur au Concours général en Mathématiques spéciales (Lycée de Nancy), le 4 août 1873.

Mention très honorable de l'Académie des Sciences, dans le Concours pour le Grand Prix des Sciences mathématiques, le 14 mars 1881.

Prix Poncelet de l'Académie des Sciences de Paris, pour l'ensemble de ses Travaux mathématiques, décerné le 21 décembre 1885.

Prix Jean Reynaud de l'Académie des Sciences de Paris, décerné le 21 décembre 1896.

Médaille d'Or de l'Association Française pour l'Avancement des Sciences, votée le 1er avril 1909, décernée le 2 août 1909.

Prix fondé par S. M. le Roi de Suède et de Norvège Oscar II, à l'occasion de son 60e anniversaire, décerné le 21 janvier 1889.

Médaille d'Or de la Société Royale astronomique de Londres, décernée le 9 février 1900.

Médaille Sylvester de la Société Royale de Londres, décernée le 30 novembre 1901.

Prix Bolyai de l'Académie Hongroise des Sciences, à Budapest, voté le 13 octobre 1901, décerné le 18 avril 1905.

Médaille d'Or Lobatschewskij de la Société physico-mathématique de Kasan, décernée le 14 février 1904 (v. s.).

Officier d'Académie, nommé le 23 avril 1881.

Officier de l'Instruction publique, nommé le 13 juillet 1889.

Chevalier de la Légion d'honneur, nommé le 4 mars 1889.

Officier de la Légion d'honneur, promu le 16 mai 1894.

Commandeur de la Légion d'honneur, promu le 14 janvier 1903.

Chevalier de l'Étoile Polaire de Suède, nommé le 14 novembre 1883.

Commandeur de première classe de l'Étoile Polaire de Suède, promu le 15 juin 1905.

Quelques-uns des Écrits sur M. HENRI POINCARÉ, publiés après son élection comme Membre de l'Académie française.

Par Gustave Le Bon:

L'Opinion, Paris, 1re a., 7 mars 1908, in-4, p. 13-14.

Par Charles Lahm:

Illustrirte Zeitung, Leipzig, in-4, 130 Bd., Nr. 3376, 12. März 1908, S. 442.—134 Bd., Nr. 3484, 7. Apr. 1910, S. 2.

Par le Vicomte Robert d'Adhémar:

La Revue hebdomadaire, Paris, 17e a., 21 mars 1908, in-16, p. 366-373.

Par Jehan Soudan:

La Revue illustrée, Paris, 23e a., 5 avril 1908, in-4, p. 241-246.

20

Par Marcel Prévost:

Le Figaro, Paris, 55e a., 3e s., 24 janvier 1909, in-fol., p. 1.

Par Jules Sageret:

R I, 6e a., 15 juin 1909, gr. in-8, p. 485-505.

Les Hommes et les Idées: Henri Poincaré. Paris, Mercure de France, 1911, in-16, avec portrait et autographe, 80 p.

Par Jacques Lux:

R B, 47e a., 2e sem., 9 octobre 1909, p. 480.

Par Émile Borel:

La méthode de M. Poincaré. R M, t. 7, 10 mars 1909, p. 360-362.

Par le Dr Toulouse:

Enquête médico-psychologique sur la supériorité intellectuelle: Henri Poincaré. Paris, E. F., avril 1910, avec portrait et autographe, in-18 jésus, v-204 p.

Par Jules Tannery:

B S M, 2e s., t. 34, 1e p., août 1910, p. 204-205.

Par Edwin E. Slosson:

Twelve Major Prophets of Today—III: Henri Poincaré. The Independent, New York, v. 71, October, 5, 1911, in-8, avec 2 portraits, p. 729-741.


21

SECTION II.

ANALYSE MATHÉMATIQUE.

Extrait du Rapport sur le Prix BOLYAI présenté par M. GUSTAVE RADOS a l'Académie Hongroise des Sciences.

Henri Poincaré est incontestablement le premier et le plus puissant chercheur du temps présent dans le domaine des Mathématiques et de la Physique mathématique. Son individualité fortement accusée nous permet de reconnaître en lui un savant doué d'intuition, qui sait puiser à la source intarissable des intuitions géométriques et mécaniques les éléments et le point de départ de ses profondes et pénétrantes recherches, en apportant d'ailleurs la rigueur logique la plus admirable dans la mise en œuvre de chacune de ses conceptions. A côté des dons éclatants de l'invention, il faut reconnaître en lui une aptitude à la généralisation la plus fine et la plus féconde des relations mathématiques, qui lui a souvent permis de reculer, bien au delà du point où elles étaient arrêtées avant lui, les limites de nos connaissances dans les différentes branches des Mathématiques pures et appliquées.

C'est ce que montrent déjà ses premiers travaux sur les fonctions automorphes, par lesquels il a ouvert la série de ces brillantes publications qui doivent être rangées au nombre des plus belles découvertes de tous les temps.

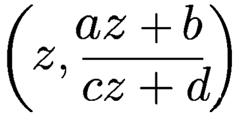
En cherchant à obtenir, pour les solutions des équations différentielles, des développements uniformes et toujours convergents, il s'adressa en premier lieu à la classe la plus simple de toutes celles qui avaient été étudiées jusque-là, aux équations linéaires à coefficients rationnels ou algébriques. Il fut ainsi conduit à de nouvelles transcendantes qui peuvent être regardées comme une généralisation très étendue des fonctions elliptiques et de la fonction modulaire, et qui jouent dans la solution des22 équations différentielles linéaires le même rôle que les fonctions elliptiques ou abéliennes pour les intégrales des différentielles algébriques. Ces nouvelles fonctions transcendantes sont caractérisées par cette propriété qu'elles demeurent invariantes quand on soumet la variable dont elles dépendent à toutes les substitutions linéaires faisant partie d'un même groupe discontinu. Si, dans ces substitutions  (z, (az + b)/(cz + d)) de déterminant  ad - bc = 1, tous les  coefficients sont des nombres réels, elles laissent fixe l'axe de la variable réelle. En composant les substitutions de ce genre avec une autre dont le déterminant est toujours égal à 1, mais dont les coefficients sont des nombres complexes quelconques, on obtient des substitutions résultantes qui laissent invariant un cercle désigné par M. Poincaré sous le nom de cercle fondamental. Les groupes ainsi caractérisés sont ceux que M. Poincaré nomme groupes fuchsiens, tandis qu'il réserve le nom de groupes kleinéens aux groupes discontinus les plus généraux formés de substitutions linéaires. En employant avec une extrême pénétration des notions métriques empruntées à la Géométrie non-euclidienne, M. Poincaré parvient d'une manière intuitive à la détermination et à la description de tous les groupes ainsi définis. Chacun d'eux donne naissance à une division régulière du plan ou de l'espace; et le problème de la recherche de tous les groupes fuchsiens et kleinéens se ramène à la détermination de toutes les divisions régulières du plan ou de l'espace. Après avoir introduit ce qu'il appelle des cycles, M. Poincaré a pu distribuer tous les domaines fondamentaux relatifs aux groupes fuchsiens en sept familles différentes, et aussi déterminer effectivement, pour chacune des divisions régulières obtenues, les groupes correspondants. Il s'agissait maintenant de donner la solution du problème important qui consiste à déterminer toutes les fonctions demeurant invariables, quand on soumet la variable dont elles dépendent à toutes les substitutions d'un groupe fuchsien. C'est ce que M. Poincaré appelle les fonctions fuchsiennes. Pour les trouver, il se laisse encore guider par l'analogie avec les fonctions elliptiques. On sait que les fonctions thêtaelliptiques ne sont pas doublement périodiques, mais qu'elles se reproduisent multipliées par un facteur exponentiel, quand l'argument s'augmente d'une période; M. Poincaré construit des séries dont la forme permet de reconnaître avec évidence l'effet des substitutions du groupe et qui se comportent d'une manière semblable aux fonctions thêtaelliptiques. Elles sont de la forme

[Grec: Theta] [z, H(z)] =  [sum] H  ((a_{i}z + b_{i})/( c_{i}z + d_{i}))(c_{i}z + d_{i})^{2m},  m>1,

où la somme est étendue à toutes les substitutions du groupe et où H est23 le signe qui désigne une fonction rationnelle, d'ailleurs quelconque. Les fonctions analytiques définies par ces séries sont celles que M. Poincaré appelle thêtafuchsiennes. Elles satisfont à l'équation fonctionnelle

[GreeK: Theta] (a_{k}z + b_{k})/(c_{k}z + d_{k}) = [Grec: Theta](z) 1/(c_{k}z + d_{k})^2m,

la substitution (z, (a_{k}z + b_{k})/(c_{k}z + d_{k})) étant  une quelconque  de celles  du groupe fuchsien considéré.  Comme le montre M. Poincaré par une fine analyse, il y a deux espèces différentes de fonctions thêtafuchsiennes. Pour la première espèce, le cercle fondamental est une limite naturelle et la fonction existe seulement à l'intérieur de ce cercle. Pour la seconde espèce, les fonctions ont seulement des points isolés sur le cercle fondamental, et elles peuvent être prolongées analytiquement au delà de ce cercle, dans toute l'étendue du plan.

En suivant la même marche que dans la théorie des fonctions elliptiques, et prenant le quotient de deux fonctions thêtafuchsiennes de même degré m, M. Poincaré obtient des fonctions qui demeurent inaltérées par toutes les substitutions du groupe fuchsien considéré. Ce sont les fonctions fuchsiennes, qui jouissent de propriétés analogues à celles des fonctions elliptiques. Le nombre des zéros et celui des infinis situés à l'intérieur d'un polygone fondamental sont toujours les mêmes pour chaque fonction. Deux fonctions fuchsiennes d'un même groupe sont toujours liées par une équation algébrique dont le genre coïncide avec le genre géométriquement défini du groupe. Le point d'attache ainsi obtenu avec la théorie des fonctions algébriques n'a pas été négligé par M. Poincaré; il lui a permis de donner la démonstration de ce théorème important que les coordonnées des points d'une courbe algébrique définie d'une manière quelconque peuvent toujours être exprimées par des fonctions uniformes d'un paramètre. Les fonctions fuchsiennes se sont aussi révélées comme un instrument puissant de recherche dans la théorie des intégrales abéliennes, et les études de M. Poincaré sur la réduction de ces intégrales à d'autres d'un genre moindre doivent être rangées au nombre de celles qui pénètrent le plus profondément au cœur de cette difficile question.

Par l'introduction des fonctions appelées zétafuchsiennes, qui sont définies comme quotients d'une série à termes rationnels et d'une série θ, il a été enfin donné à M. Poincaré de démontrer que les solutions des équations différentielles linéaires dont les coefficients sont des fonctions algébriques de la variable indépendante peuvent être exprimées à l'aide de ces nouvelles transcendantes. Il a obtenu ce résultat capital en suivant une marche analogue à celle qui donne les intégrales de différentielles algébriques exprimées par des fonctions thêtaabéliennes.

24C'est ainsi que M. Poincaré a ouvert un champ étendu pour l'étude des fonctions automorphes et de leurs applications, et qu'en mettant en évidence les rapports de cette théorie avec celle des équations différentielles linéaires, il a doté cette ancienne discipline de méthodes nouvelles et fécondes.

Parmi ses travaux ultérieurs sur la théorie des fonctions, il y a lieu de mettre à part le Mémoire Sur un théorème de la théorie générale des fonctions, qui a été publié en 1883 dans le Bulletin de la Société mathématique de France. L'Auteur s'y proposait de ramener d'une manière générale la théorie des fonctions analytiques à déterminations multiples à celle des fonctions uniformes. Et, en fait, il est parvenu au théorème fondamental suivant, qui est d'une grande généralité:

Si y est une fonction analytique quelconque de x à déterminations multiples, on peut toujours déterminer une variable z de telle manière que x et y deviennent des fonctions uniformes de z.

Signalons également le travail important, paru dans le même Volume du Bulletin de la Société mathématique, qui se rapporte à la notion de genre introduite par Laguerre dans la théorie des fonctions transcendantes. Le résultat le plus remarquable établi par M. Poincaré consiste dans la condition

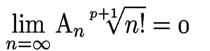
lim_{n = [infinity]} A_n [(p+1)th root](n!) = 0

à laquelle doit satisfaire toute fonction F(x) = Σ An xn de genre p, et en outre dans le théorème d'après lequel le maximum du module de F(x) reste inférieur à Math, α étant un nombre réel et positif quelconque, théorème qui joue un rôle essentiel dans d'importantes recherches ultérieures.

Il était de la plus haute importance, pour la théorie générale des fonctions analytiques, de déterminer quelle est la puissance de l'ensemble des valeurs que peut prendre une fonction analytique à déterminations multiples en un point quelconque du domaine où elle existe.

M. Poincaré a pu établir que la détermination complète d'une fonction analytique peut toujours être obtenue à l'aide d'un ensemble dénombrable d'éléments de fonctions et, par suite, que l'ensemble des valeurs de la fonction pour tout point de son domaine est toujours dénombrable.

Comme on sait aujourd'hui que les séries divergentes peuvent, sous certaines conditions, être très légitimement et très utilement employées dans la recherche mathématique, il convient de faire remarquer que M. Poincaré a employé dans la mesure la plus large les représentations25 auxquelles il a donné le nom d'asymptotiques, aussi bien dans ses recherches sur les solutions irrégulières des équations différentielles linéaires que dans son célèbre Mémoire Sur le problème des trois corps et les équations de la Dynamique, et qu'il a ainsi provoqué de nombreuses recherches sur ce sujet.

Il a transformé la théorie des nombres complexes en signalant ses rapports avec la théorie des groupes de Lie, éclairant ainsi d'un jour tout nouveau cette théorie des unités complexes et lui permettant d'utiliser, pour la solution de ses principaux problèmes, les méthodes et les résultats de la théorie des groupes.

Signalons encore la théorie des systèmes linéaires composés d'un nombre infini d'équations à un nombre infini d'inconnues dont il doit être considéré comme le fondateur, car il est le premier qui se soit occupé des déterminants infinis et des critères de convergence qui s'y rapportent.

Je dois me borner à signaler rapidement les travaux de M. Poincaré qui se rapportent aux premiers fondements d'une théorie générale des fonctions analytiques de plusieurs variables indépendantes. Il faut mentionner en premier lieu le Mémoire Sur les résidus des intégrales doubles. Entre la théorie des fonctions d'une variable et celle des fonctions de plusieurs variables se montrent dès le début des différences profondes. L'extension des propositions de l'une des théories à l'autre n'avait pu se faire que dans un très petit nombre de cas. M. Poincaré a montré ce que deviennent les théorèmes fondamentaux de Cauchy, relatifs aux résidus, dans la théorie des intégrales multiples; et il a appliqué les propositions ainsi généralisées à l'étude des modules de périodicité des intégrales multiples et des fonctions thêtaabéliennes.

Dans cet ordre d'idées, il convient aussi de mettre à part les recherches sur l'Analysis situs des variétés à un nombre quelconque de dimensions. M. Poincaré est parvenu à ce résultat important qu'une telle variété ne peut être définie, dans le sens de l'Analysis situs, par la seule connaissance de ses nombres de Betti; en réalité, à chaque système de tels nombres correspondent une infinité de variétés qui ne sont pas déformables les unes dans les autres. Signalons, en particulier, l'extension du théorème d'Euler sur les polyèdres aux polyèdres d'un nombre quelconque de dimensions et de la connexion la plus étendue....

Parmi les travaux que M. Poincaré a consacrés à la théorie des nombres, je signalerai d'abord son Mémoire Sur un mode nouveau de représentation géométrique des formes quadratiques définies ou indéfinies, où il a développé une arithmétique des réseaux à l'aide de laquelle il a pu développer géométriquement, sous une forme neuve et originale, la théorie que Gauss avait donnée pour la composition des formes quadratiques. L'extension des méthodes données dans ce premier travail l'a conduit plus26 tard à une intéressante généralisation de l'algorithme des fractions continues. A signaler aussi ses travaux sur les invariants arithmétiques, qu'il exprime à l'aide de séries et d'intégrales et qu'il a su appliquer à la solution des problèmes d'équivalence. Par la considération de ces groupes linéaires discontinus de substitutions qui laissent invariable une forme quadratique ternaire indéfinie, il a apporté une contribution nouvelle à la théorie des fonctions automorphes. Chacun de ces groupes est isomorphe à un groupe fuchsien spécial. Les fonctions dénommées arithmétiques fuchsiennes relatives à ce groupe se distinguent en ce qu'elles possèdent un théorème d'addition, ce qui n'a pas lieu pour les fonctions fuchsiennes les plus générales. Les relations multiples qui existent entre les fonctions arithmétiques fuchsiennes ont ouvert à la théorie des nombres et à l'Algèbre des perspectives nouvelles sur un champ encore inexploré. C'est encore à l'Algèbre et à la théorie des nombres qu'il faut rattacher les publications de M. Poincaré sur l'équivalence des formes de degré supérieur, travaux qui doivent être regardés comme le prolongement le plus essentiel des recherches correspondantes d'Hermite et de M. Jordan.

B S M, 2e s., t. 30, 1re p., avr. 1906, p. 105-112.


27

1.

ANALYSE PURE.

OUVRAGES.

1. Calcul des Probabilités.

Leçons professées à la Sorbonne pendant le second semestre 1893-1894, rédigées par A. Quiquet. C P A.

Paris, G. C., 1896, gr. in-8, 275 p.

2e édition, revue et augmentée par l'Auteur: Paris, G.-V., 1912, gr. in-8, iv-335 p.

Présentation de la 2e édition par M. H. Poincaré à l'Académie des Sciences: C R, t. 153, 30 oct. 1911, p. 795.

Analyse par A. Buhl: E M, 14e a., 15 mars 1912, p. 165-167.

Analyse par A. Boulanger: B S M, 2e s., t. 36, 1re p., juin 1912, p. 169-184.

2. Sechs Vorträge über ausgewählte Gegenstände aus der reinen Mathematik und mathematischen Physik.

Six Conférences sur diverses questions d'Analyse pure, de Physique mathématique, d'Astronomie théorique et de Philosophie mathématique faites à Göttingue, du 22 au 28 avril 1909, par M. H. Poincaré, invité par la Commission de la Fondation Wolfskehl de la Société Royale des Sciences de Göttingue.

Voir no 103, p. 39; no 40, p. 59; no 57, p. 76; no 95, p. 37; no 13, p. 91; no 5, p. 89.

Leipzig und Berlin, B. G. T., 1910, in-8, iv-60 S.

Analyse par J. Marty: B S M, 2e s., t. 34, 1re p., avr. 1910, p. 100-104.

MÉMOIRES. NOTES.

Groupes et Fonctions.

Fonctions définies par les équations différentielles.

1 à 7. Sur les courbes définies par les équations différentielles.

C R, t. 90, 22 mars 1880, p. 673-675.

J L, 3e s., t. 7, nov. 1881, p. 375-422.28

J L, 3e s., t. 8, août 1882, 251-296.

C R, t. 98, 4 fév. 1884, p. 287-289.

C R, t. 99, 5 déc. 1884, p. 951-952.

J L, 4e s., t. 1, 15 janv. 1885, t. 167-244.

J L, 4e s., t. 2, 13 déc. 1885, p. 151-217.

Analyse par Hoppe du Mémoire no 2 et de la Note no 5: J F M, Bd. 13, J. 1881, S. 591-593.

Analyse des Mémoires nos 2, 3, 6: B S M, 2e s., 2e p., t. 6, mai 1882, p. 100-103;—t. 9, janv. 1885, p. 16-18;—t. 25, nov. 1901, p. 251-252.

8. Sur les points singuliers des équations différentielles.

C R, t. 94, 13 fév. 1882, p. 416-418.

Analyse par Hamburger: J F M, Bd. 14, J. 1882, S. 284.

9. Sur les propriétés des fonctions définies par les équations différentielles.

J E P, 45o c., 1878, p. 13-26.

Analyse par Hamburger: J F M, Bd. 10, J. 1878, S. 223-224.

10. Sur les propriétés des fonctions définies par les équations aux différentielles partielles.

Thèse pour le grade de Docteur ès Sciences mathématiques, soutenue devant la Faculté des Sciences de Paris le 1er août 1879.

Paris, G.-V., 1879, in-4, 95 p.

Fonctions uniformes.

11. Sur une propriété des fonctions uniformes.

C R, t. 92, 6 juin 1881, p. 1335-1336.

Analyse par Hamburger: J F M, Bd. 13, J. 1881, S. 320.

12. Sur une classe étendue de transcendantes uniformes.

C R, t. 103, 8 nov. 1886, p. 862-867.

13. Sur une classe nouvelle de transcendantes uniformes.

J L, 4e s., t. 6, f. 4, 1890, p. 313-365.

Analyse par Hurwitz: J F M, Bd. 22, J. 1890, S. 420-424.

Analyse: B S M, 2e s., t. 25, 2e p., déc. 1897, p. 280-283.29

Groupe des équations linéaires.

14. Sur une classe d'invariants relatifs aux équations linéaires.

C R, t. 94, 22 mai 1882, p. 1402-1405.

Analyse par Hamburger: J F M, Bd. 14, J. 1882, S. 282-283.

15 à 17. Sur les groupes des équations linéaires.

C R, t. 96, 12 mars 1883, p. 691-694.

C R, t. 96, 30 avr. 1883, p. 1302-1304.

A M, t. 4, 1884, 20 oct. 1883, p. 201-312.

Analyse de la Note no 15: B S M, 2e s., t. 7, 2e p., nov. 1883, p. 217-218.

Analyse par Dyck du Mémoire no 17: J F M, Bd. 16, J. 1884, S. 252-257.

Analyse par J. T. du Mémoire no 17: B S M, 2e s., t. 13, 2e p., juin 1889, p. 97-100.

Séries.

18. Sur la convergence des séries trigonométriques.

B A, t. 1, juil. 1884, p. 319-327.

19. Sur un moyen d'augmenter la convergence des séries trigonométriques.

B A, t. 3, nov. 1886, p. 521-528.

20. Sur les séries de polynômes.

C R, t. 96, 5 mars 1883, p. 637-639.

Analyse par Taeplitz: J F M, Bd. 15, J. 1883, S. 194.

21. Sur la série de Laplace.

Dirichlet a, le premier, démontré d'une façon rigoureuse ce résultat, énoncé par Laplace, qu'une fonction arbitraire des coordonnées d'un point sur une sphère peut être développée en une série de fonctions sphériques.... Le but de cette Note est de présenter la démonstration de Dirichlet sous une forme nouvelle plus simple.

C R, t. 118, 5 mars 1894, p. 497-501.

Analyse par Wangerin: J F M, Bd. 25, J. 1893 u. 1894, S. 820-822.

30

Fonctions analytiques.

22. Sur une fonction analogue aux fonctions modulaires.

C R, t. 93, 18 juil. 1881, p. 138-140.

Analyse par Hamburger: J F M, Bd. 13, J. 1881, S. 374-375.

23. 24. Sur les fonctions de deux variables.

A M, t. 2, 18 janv. 1883, p. 97-113.

C R, t. 96, 22 janv. 1883, p. 238-240.

25 à 27. Sur les fonctions à espaces lacunaires.

C R, t. 96, 16 avr. 1883, p. 1134-1136.

A S S F, t. 12, 1883, p. 341-350.

A J M, v. 14, 1892, p. 201-221.

Analyse par Dyck de la Note no 25: J F M, Bd. 15, J. 1883, S. 340-341.

Analyse par G. Eneström du Mémoire no 26: J F M, Bd. 15, J. 1883, S. 341.

Analyse par Hurwitz: J F M, Bd. 24, J. 1892, S. 388-389.

28. Sur un théorème de la théorie générale des fonctions.

B S M F, t. 11, 1882-1883, 18 mai 1883, p. 112-125.

Analyse par Dyck: J F M, Bd. 15, J. 1883, S. 348.

29. Sur une propriété des fonctions analytiques.

R C M P, t. 2, 11 nov. 1888, p. 197-200.

Analyse par Hurwitz: J F M, Bd. 20, J. 1888, S. 393-394.

30. Les fonctions analytiques de deux variables et la représentation conforme.

R C M P, t. 23, 27 janv. 1907, p. 185-220.

Analyse par Stäckel: J F M, Bd. 38, J. 1907, S. 459-461.

31. Sur l'uniformisation des fonctions analytiques.

A M, t. 31, 1908, mars 1907, p. 1-63.

Analyse par Stäckel: J F M, Bd. 38, J. 1907, S. 452-453.

31

Fonctions entières.

32. Sur les transcendantes entières.

C R, t. 95, 3 juil. 1882, p. 23-26.

Analyse par Dyck: J F M, Bd. 14, J. 1882, S. 323-324.

Analyse: B S M, 2e s., t. 6, 2e p., mai 1883, p. 94-95.

33. Sur les fonctions entières.

B S M F, t. 11, 1882-1883, 20 juil. 1883, p. 136-144.

Fonctions θ.

34. Sur les fonctions θ.

B S M F, t. 11, 1882-1883, 20 juil. 1883, p. 129-134.

Analyse par F. Müller: J F M, Bd. 15, J. 1883, S. 430-431.

35. Sur un théorème de Riemann, relatif aux fonctions de n variables indépendantes admettant 2n systèmes de périodes; par MM. H. Poincaré et E. Picard.

C R, t. 97, 3 déc. 1883, p. 1284-1287.

Analyse par Hamburger: J F M, Bd. 15, J. 1883, S. 365-366.

Fonctions fuchsiennes.

36 à 43. Sur les fonctions fuchsiennes.

M. H. Poincaré est arrivé à démontrer qu'il existe une classe très étendue de fonctions analytiques analogues aux fonctions elliptiques et permettant d'intégrer diverses équations différentielles linéaires à coefficients algébriques. Il a donné à ces nouvelles fonctions le nom de fonctions fuchsiennes, en l'honneur de Fuchs dont les travaux lui ont servi dans ses recherches.

Plus tard, en Allemagne, ces fonctions ont été appelées fonctions automorphes.

C R, t. 92, 14 fév. 1881, p. 333-335.

C R, t. 92, 21 fév. 1881, p. 395-398.

C R, t. 92, 18 avr. 1881, p. 957.

C R, t. 92, 23 mai 1881, p. 1198-1200.

C R, t. 92, 30 mai 1881, p. 1274-1276.

32

C R, t. 92, 27 juin 1881, p. 1484-1487.

C R, t. 93, 8 août 1881, p. 301-303.

C R, t. 93, 17 oct. 1881, p. 581-582.

Analyse par Hamburger: J F M, Bd. 13, J. 1881, S. 247-251.

44. Sur une nouvelle application et quelques propriétés importantes des fonctions fuchsiennes.

C R, t. 92, 4 avr. 1881, p. 859-861.

45. Sur la théorie des fonctions fuchsiennes.

Développement des Notes insérées aux Comptes rendus des Séances de l'Académie des Sciences jusqu'au 27 juin 1881.

Mémoires de l'Académie nationale de Caen, 1882, in-8, p. 3-29.

46. Mémoire pour le Concours du grand prix des Sciences mathématiques (Géométrie) en 1880.

Le sujet proposé était: Perfectionner en quelque point important la théorie des équations différentielles linéaires à une seule variable indépendante. Ce Mémoire contient les premières recherches de M. H. Poincaré sur les fonctions fuchsiennes.

Rapport de M. Hermite: C R, t. 92, 14 mars 1881, p. 553-554.

47. Théorie des groupes fuchsiens.

Ce Mémoire contient une partie de celui qui a été soumis, le 1er juin 1880, au jugement de l'Académie des Sciences, dans le Concours pour le grand prix des Sciences mathématiques, et le développement des Notes insérées aux Comptes rendus en 1881.

A M, t. 1, 1882, p. 1-62.

Analyse par Dyck: J F M, Bd 14, J. 1882, S. 338-344.

Analyse par J. T.: B S M, 2e s., t. 7, 1re p., mai 1883, p. 130-133.

48. Sur les fonctions uniformes qui se reproduisent par des substitutions linéaires.

M A, Bd. 19, 1882, 17 déc. 1881 S. 553-564;—Bd. 20, 30 mars 1882, S. 52-53.

49 à 54. Sur les fonctions fuchsiennes.

C R, t. 94, 23 janv. 1882, p. 163-166.

C R, t. 94, 10 avr. 1882, p. 1038-1040.

C R, t. 94, 24 avr. 1882, p. 1166-1167.

C R, t. 95, 9 oct. 1882, p. 626-628.

33

A M, t. 1, 23 oct. 1882, p. 193-294.

C R, t. 96, 21 mai 1883, p. 1485-1487.

Analyse de la Note no 50: B S M, 2e s., t. 6, 2e p., oct. 1882, p. 226-227.

Analyse par Hamburger des Notes nos 49, 50, 51: J F M, Bd. 14, J. 1882, S. 255-257.

Analyse par Dyck du Mémoire no 53: J F M, Bd. 15, J. 1883, S. 342-347.

Analyse par Dyck de la Note no 54: J F M, Bd. 15, J. 1883, S. 348.

Analyse par J. T. du Mémoire no 53: B S M, 2e s., t. 8, 2e p., sept. 1884, p. 145-148.

55. Sur les groupes hyperfuchsiens.

C R, t. 98, 25 fév. 1884, p. 503-504.

56. Sur les fonctions zétafuchsiennes.

C'est le dernier de cette admirable série de Mémoires où l'Auteur a introduit de nouvelles fonctions uniformes dont l'importance ne peut que grandir avec le développement de la Science et qui jouent, dans la théorie des équations différentielles linéaires, un rôle si essentiel. J. T.

A M, t. 5, 30 mai 1884, p. 209-278.

Analyse par Dyck: J F M, Bd. 16, J. 1884, S. 252-257.

Analyse par J. T.: B S M, 2e s., t. 13, 2e p., juil. 1889, p. 109-114.

57. 58. Les fonctions fuchsiennes et l'équation Δu = eu.

C R, t. 126, 28 fév. 1898, p. 627-630.

J L, 5e s., t. 4, f. 2, 1898, p. 137-230.

Analyse par Landsberg du Mémoire no 58: J F M, Bd. 29, J. 1898, S. 367-368.

Analyses de la Note no 57 et du Mémoire no 58: B S M, 2e s., 2e p., t. 24, avr. 1900, p. 79;—t. 27, nov. 1903, p. 175-176.

Groupes kleinéens.

59. Sur les groupes kleinéens.

C R, t. 93, 11 juil. 1881, p. 44-46.

60. Mémoire sur les groupes kleinéens.

A M, t. 3, 19 mai 1883, p. 49-92.

Analyse par Dyck: J F M, Bd. 15, J. 1883, S. 348-351.

Analyse par G. K.: B S M, 2e s., t. 11, 2e p., juil. 1887, p. 138-140.

34

Groupes discontinus. Groupes continus.

61. Sur les groupes discontinus.

C R, t. 94, 27 mars 1882, p. 840-843.

Analyse par Dyck: J F M, Bd. 14, J. 1882, S. 350-352.

62. 63. Sur les groupes continus.

C R, t. 128, 1er mai 1899, p. 1065-1069.

T C P S, v. 18, 1900, 25 sept. 1899, p. 220-255. Memoirs presented to the Cambridge philosophical Society in the occasion of the Jubilee of Sir George Gabriel Stokes, Bart.: Cambridge, 1900, in-4, p. 220-255.

Analyse par Engel de la Note no 62: J F M, Bd. 30, J. 1899, S. 334.

64. Quelques remarques sur les groupes continus.

R C M P, t. 15, 3 avr. 1901, p. 321-368.

Analyse par Engel: J F M, Bd. 32, J. 1901, S. 373-376.

65. Nouvelles remarques sur les groupes continus.

R C M P, t. 25, 1908, 3 oct. 1907, p. 81-130.

Analyse par Engel: J F M, Bd. 39, J. 1908, S. 434-435.

Fonctions abéliennes.

66 à 70. Sur les fonctions abéliennes.

C R, t. 92, 18 avr. 1881, p. 958-959.

C R, t. 100, 16 mars 1885, p. 785-787.

A J M, v. 8, 13 juin 1886, p. 289-342.

C R, t. 120, 4 fév. 1895, p. 239-243.

C R, t. 124, 21 juin 1897, p. 1407-1411.

Analyse par Hamburger de la Note 66. J F M, Bd. 13, J. 1881, S. 377-378.

Analyse par Henoch du Mémoire no 68: J F M, Bd. 18, J. 1886, S. 421-423.

Analyse par Hurwitz de la Note no 69: J F M, Bd. 26, J. 1895, S. 509-512.

Analyse de la Note no 69: B S M, 2e s., t. 21, 2e p., mars 1897, p. 36.

35

71. Sur la transformation des fonctions fuchsiennes et la réduction des intégrales abéliennes.

C R, t. 102, 4 janv. 1886, p. 41-44.

Analyse par v. Braunmühl: J F M, Bd. 18, J. 1886, S. 360-361.

72. Remarques diverses sur les fonctions abéliennes.

J L, 5e s., t. 1, f. 3, 1895, p. 219-314.

Analyse par Hurwitz: Bd. 26, J. 1895, S. 509-512.

Analyse par L. R.: B S M, 2e s., t. 27, 2e p., sept. 1903, p. 139-141.

73. Sur les propriétés du potentiel et sur les fonctions abéliennes.

A M, t. 22, 1899, 25 mai 1898, p. 89-178.

Analyse par H.: B S M, 2e s., t. 31, 2e p., mars 1907, p. 58-60.

Analyse par Hurwitz: J F M, Bd. 29, J. 1898, S. 370-372.

74. Sur les fonctions abéliennes.

Exposé d'ensemble des recherches de M. H. Poincaré sur les fonctions abéliennes avec quelques résultats nouveaux, fait à la demande de M. G. Mittag-Leffler, pour le Tome des Acta mathematica imprimé Niels Henrik Abel in Memoriam.

A M, t. 26, 7 avr. 1902, p. 43-98.

Analyse par Stäckel: J F M, Bd. 33, J. 1902, S. 439-442.

Équations différentielles. Intégration.

Équations différentielles linéaires.

75. Sur les équations différentielles linéaires à intégrales algébriques.

C R, t. 92, 21 mars 1881, p. 698-701.

Analyse par Hamburger: J F M, Bd. 13, J. 1881, S. 251.

76. Sur l'intégration des équations linéaires par le moyen des fonctions abéliennes.

C R, t. 92, 11 avr. 1881, p. 913-915.

Analyse par Hamburger: J F M, Bd. 13, J. 1881, S. 251-252.

36

77. Sur les équations linéaires aux différentielles ordinaires et aux différences finies.

A J M, v. 7, 1885, 10 nov. 1884, p. 203-258.

Analyse par Hamburger: J F M, Bd. 17, J. 1885, S. 290-292.

78 à 80. Sur les intégrales irrégulières des équations linéaires.

C R, t. 101, 9 nov. 1885, p. 939-941.

C R, t. 101, 16 nov. 1885, p. 990-991.

A M, t. 8, 7 fév. 1886, p. 295-344.

Analyse par Hamburger des Notes nos 78, 79 et du Mémoire no 80: J F M, Bd. 17, J. 1885, S. 290-292;—Bd. 18, J. 1886, S. 273-277.

Analyse des Notes nos 78, 79: B S M, 2e s., t. 11, 2e p., oct. 1887, p. 213-214.

81. Remarques sur les intégrales irrégulières des équations linéaires. Réponse à M. Thomé.

A M, t. 10, 24 juil. 1887, p. 310-312.

Analyse par Hamburger: J F M, Bd. 19, J. 1887, S. 305-306.

82. 83. Sur l'intégration algébrique des équations linéaires.

C R, t. 97, 5 nov. 1883, p. 984-985.

C R, t. 97, 26 nov. 1883, p. 1189-1191.

Analyse: B S M, 2e s., t. 8; 2e p., juin 1884, p. 89-90.

84. Sur l'intégration algébrique des équations linéaires et les périodes des intégrales abéliennes.

J L, 5e s., t. 9, f. 2, 1903, p. 139-212.

Analyse par Wallenberg: J F M, Bd. 34, J. 1903, S. 359.

Analyse par L. R.: B S M, 2e s., t. 30, 2e p., déc. 1906, p. 221.

Équations différentielles du premier ordre et du premier degré.

85. 86. Sur un théorème de M. Fuchs,

Relatif aux équations différentielles dont les intégrales ont tous leurs points critiques fixes.

C R, t. 99, 15 juil. 1884, p. 75-77.

A M, t. 7, 1885, 25 nov. 1884, p. 1-32.

Analyse par Dyck de la Note no 85 et du Mémoire no 86: J F M, Bd. 16, J. 1884, S. 250;—Bd. 17, J. 1885, S. 279-280.

Analyse par E. Cosserat du Mémoire no 86: B S M, 2e s., t. 14, 2e p., avr. 1890, p. 59-60.

37

87. Sur l'intégration algébrique des équations différentielles.

C R, t. 112, 13 avr. 1891, p. 761-764.

La question de l'intégration algébrique des équations différentielles du premier ordre et du premier degré n'a pas attiré l'attention des géomètres autant qu'elle le méritait. La voie a été ouverte, il y a vingt ans, par un admirable travail de M. Darboux1; mais les analystes ont été fort longtemps sans s'y engager, et ce n'est que tout récemment que le problème a été repris par MM. Painlevé et Autonne2. H. P.

Analyse par Hamburger: J F M, Bd. 23, J. 1891, S. 319-321.

Analyse: B S M, 2e s., t. 17, 2e p., mars 1893, p. 43-44.

88. 89. Sur l'intégration algébrique des équations différentielles de premier ordre et du premier degré.

R C M P, t. 5, 12 avr. 1891, p. 161-191.

R C M P, t. 11, 7 mai 1897, p. 193-239.

Analyse par Hamburger des Mémoires nos 88, 89: J F M, Bd. 23, J. 1891, S. 319-321;—Bd. 28, J. 1897, S. 292-294.

Réduction des intégrales abéliennes.

90. Sur une généralisation du théorème d'Abel.

C R, t. 100, 5 janv. 1885, p. 40-42.

Analyse par Dyck: J F M, Bd. 17, J. 1885, S. 405-406.

91 à 93. Sur la réduction des intégrales abéliennes.

B S M F, t. 12, 1883-1884, 7 nov. 1884, p. 124-143.

C R, t. 99, 17 nov. 1884, p. 853-855.

C R, t. 102, 19 avr. 1886, p. 915-917.

Analyse par Henoch du Mémoire no 91 et de la Note no 92: J F M, Bd. 16, J. 1884, S. 426-430, 430.

Analyse du Mémoire no 91: B S M, 2e s., t. 9, 2e p., juin 1886, p. 138-139.

94. Sur la réduction des intégrales abéliennes et les fonctions fuchsiennes.

R C M P, t. 27, 1er sem. 1909, 21 nov. 1908, p. 281-336.

95. Ueber die Reduktion der Abel'schen Integrale und die Theorie der Fuchs'schen Funktionen.

S V, 26 avr. 1909, S. 33-41.

38

Intégrales de différentielles totales. Intégrales doubles.

96. Sur les intégrales de différentielles totales.

C R, t. 99, 29 déc. 1884, p. 1145-1147.

97. 98. Sur les résidus des intégrales doubles.

C R, t. 102, 25 janv. 1886, p. 202-204.

A M, t. 9, 1887, 24 déc. 1886, p. 321-380.

Analyse par Hoppe du Mémoire no 98: J F M, Bd. 19, J. 1887, S. 275-277.

Analyse de la Note no 97: B S M, 2e s., t. 12, 2e p., avr. 1888, p. 61-62.

Analyse par E. G. du Mémoire no 98: B S M, 2e s., t. 14, 2e p., juin 1890, p. 133-141.

99. Sur les périodes des intégrales doubles.

C R, t. 125, 13 déc. 1897, p. 995-997.

Analyse par Hurwitz: J F M, Bd. 28, J. 1897, S. 368.

100. Sur les périodes des intégrales doubles.

J L, 6e s., t. 2, f. 2, 1906, p. 135-189.

Analyse par Dehn: J F M, Bd. 37, J. 1906, S. 442.

Équation de Fredholm ou Équations intégrales.

101. Remarques sur l'équation de Fredholm.

M. Fredholm a été signalé à M. H. Poincaré par M. Mittag-Leffler dans une Lettre intitulée Sur une transcendante remarquable trouvée par M. Fredholm, insérée dans les Comptes rendus des Séances de l'Académie des Sciences3 et dans l'Ouvrage ayant pour titre Notes et Mémoires présentés à la Conférence de Mathématiques de l'Université de Stockholm4.

C R, t. 147, 21 déc. 1908, p. 1367-1371.

Analyse par Toeplitz: J F M, Bd. 39, J. 1908, S. 416.

102. Sur quelques applications de la méthode de M. Fredholm.

La méthode de Fredholm permet de résoudre presque immédiatement certaines questions relatives au développement des fonctions en séries ou à leur représentation par des intégrales définies. H. P.

C R, t. 148, 18 janv. 1909, p. 125-126.

39

103. Ueber die Fredholm'schen Gleichungen.

S V, 22 avr. 1909, S. 1-10. (Voir A M, t. 33, 1910, p. 57-86.)

104. Remarques diverses sur l'équation de Fredholm.

A F A S, 38e Ses., Lille, 2 août 1909, Résumés des Travaux, p. 55-56; Compte rendu, p. 1-28.—A M, t. 33, 1910, sept. 1909, p. 57-86.


2.

ANALYSE APPLIQUÉE
A L'ARITHMÉTIQUE ET A L'ALGÈBRE.

MÉMOIRES. NOTES.

Arithmétique.

1. 2. Sur la représentation des nombres par les formes.

C R, t. 92, 28 mars 1881, p. 777-779.

B S M F, t. 13, 1884-1885, 28 mars 1885, p. 162-194.

Analyse par F. Meyer de la Note no 2: J F M, Bd. 17, J. 1885, S. 161-163.

3 à 5. Sur les invariants arithmétiques.

A F A S, 10e Ses., Alger, 15 avril 1881, p. 109-117.

J C, Bd. 129, Ht. 2, 1905, p. 89-150. (Volume publié le 13 février 1905 en Souvenir de Lejeune-Dirichlet.)

Conférence faite à l'Université de Londres le 10 mai 1912.

Analyse par F. Meyer du Mémoire no 4: J F M, Bd. 36, J. 1905, S. 144-151.

Analyse du Mémoire no 4: B S M, 2e s., t. 33, 2e p., mars, avr. 1909, p. 44-52.

6. Sur une extension de la notion arithmétique de genre.

C R, t. 94, 9, 16 janv. 1882, p. 67-71, 124-127.

Analyse par F. Meyer: J F M, Bd. 14, J. 1882, S. 139-140.

40

7. Sur la reproduction des formes.

C R, t. 97, 29 oct. 1883, p. 949-951.

Analyse par F. Meyer: J F M, Bd. 15, J. 1883, S. 117.

8. Sur les nombres complexes.

C R, t. 99, 3 nov. 1884, p. 740-742.

Analyse: B S M, 2e s., t. 9, 2e p., juil. 1885, p. 138.

9. Sur une généralisation des fractions continues.

C R, t. 99, 8 déc. 1884, p. 1014-1016.

Analyse: B S M, 2e s., t. 9, 2e p., juil. 1885, p. 146.

10. Les fonctions fuchsiennes et l'arithmétique.

J L, 4e s., t. 3, 18 mars 1887, p. 405-464.

Analyse par F. Meyer: J F M, Bd. 19, J. 1887, S. 429-432.

Analyse: B S M, 2e s., t. 25, 2e p., déc. 1901, p. 264-265.

11. Extension aux nombres premiers complexes des théorèmes de M. Tchebycheff.

J L, 4e s., t. 8, 1892, 3 déc. 1891, p. 25-68.

Analyse par Hilbert: J F M, Bd. 24, J. 1892, S. 171-172.

12. Sur la distribution des nombres premiers.

C R, t. 113, 14 déc. 1891, p. 819.

13. 14. Sur quelques propriétés des formes quadratiques.

C R, t. 89, 11 août 1879, p. 344-346.

C R, t. 89, 24 nov. 1879, p. 897-899.

15. 16. Sur la réduction simultanée d'une forme quadratique et d'une forme linéaire.

C R, t. 91, 22 nov. 1880, p. 844-846.

J E P, 56e c, 1886, p. 79-142.

17. Sur un nouveau mode de représentation géométrique des formes quadratiques définies ou indéfinies.

J E P, 47e c, 1880, p. 177-245.

Analyse: B S M, 2e s., t. 5, 2e p., juin 1881, p. 115-116.

41

18. Sur l'application de la Géométrie non-euclidienne à la théorie des formes quadratiques.

A F A S, 10e Ses., Alger, 16 avr. 1881, p. 132-138.

19. Sur les fonctions fuchsiennes et les formes quadratiques ternaires indéfinies.

C R, t. 102, 29 mars 1886, p. 735-737.

Analyse par F. Meyer: J F M, Bd. 18, J. 1886, S. 151-152.

Algèbre.

20. Sur les formes cubiques ternaires.

C R, t. 90, 7 juin 1880, p. 1336-1339.

21. Sur les formes cubiques ternaires et quaternaires.

J E P, 50e c, 1882, I, p. 199-253;—51e c, 1882, II, p. 45-91.

Analyse: B S M, 2e s., t. 7, 2e p., sept. 1883, p. 172-174, 175-176.

Analyse par F. Meyer: J F M, Bd. 15, J. 1883, S. 97-100.

22. Sur les substitutions linéaires.

C R, t. 98, 11 fév. 1884, p. 349-352.

23. Sur les équations algébriques.

C R, t. 97, 17 déc. 1883, p. 1418-1419

24. 25. Déterminants d'ordre infini.

Remarques sur l'emploi d'une Méthode proposée par M. P. Appell, et intitulée Méthode élémentaire pour obtenir le développement en série trigonométrique des fonctions elliptiques.

B S M F, t. 13, 1884-1885, 20 déc. 1884, p. 19-27.

Analyse: B S M, 2e s., t. 9, 2e p., juin 1886, p. 141-142.

Sur les déterminants d'ordre infini.

B S M F, t. 14, 1885-1886, 17 fév. 1886, p. 77-90.

Analyse par F. Meyer: J F M, Bd. 18, J. 1886, S. 117-119.

Analyse: B S M, 2e s., t. 12, 2e p., mars 1888, p. 44-45.


42

3.

ANALYSE APPLIQUÉE A LA GÉOMÉTRIE.

MÉMOIRES. NOTES.

Courbes.

1. Sur les transformations birationnelles des courbes algébriques.

C R, t. 117, 3 juil. 1893, p. 18-23.

2. Sur les propriétés arithmétiques des courbes algébriques.

J L, 5e s., t. 7, f. 2, 1901, p. 161-233.

Analyse par Landsberg: J F M, Bd. 32, J. 1901, S. 564-566.

Analyse par L. R.: B S M, 2e s., t. 30, 2e p., déc. 1906, p. 201-202.

3 à 5. Sur les courbes tracées sur les surfaces algébriques.

C R, t. 149, 6 déc. 1909, p. 1026-1027.

A S E N, 3e s., t. 27, fév., mars 1910, p. 55-108.

Sitzungsberichte der Berliner mathematischen Gesellschaft, 10. J., Sitzung am 12 October 1910, S. 28-55. Voir Archiv der Mathematik und Physik, J. A. Grunert, Leipzig, B. G. T., Dritte Reihe, 18 Bd., 1 Ht, 24 Mai 1911.

Analyse par E. Lampe de la Note no 3: J F M, Bd. 40, 1909, S. 682-683.

Surfaces.

6. Sur les transformations des surfaces en elles-mêmes.

C R, t. 103, 26 oct. 1886, p. 732-734.

Analyse par v. Braunmühl: J F M, Bel. 18, J. 1886, S. 717-718.

7. Sur les surfaces de translation et les fonctions abéliennes.

B S M F, t. 29, 1901, 4e trim. 1900, p. 61-86.

Analyse: B S M, 2e s., t. 26, 2e p., déc. 1902, p. 188-189.

43

8. Sur les lignes géodésiques des surfaces convexes.

Communication faite le 17 septembre 1904 au Congrès tenu à Saint-Louis par la Société mathématique américaine.

T A M S, v. 6, Jan. 4, 1905, p. 237-274.

Analyse par Rothe: J F M, Bd. 36, J. 1905, S. 669-670.

Analysis situs.

9. Sur l'«Analysis situs».

C R, t. 115, 31 oct. 1892, p. 633-636.

Analyse par Schönflies: J F M, Bd. 24, J. 1892, S. 506.

Analyse: B S M, 2e s., t. 18, 2e p., juin 1894, p. 121.

10. «Analysis situs».

J E P, 2e s., 1er c., 1895, p. 1-121.

Analyse: B S M, 2e s., t. 25, 2e p., sept. 1901, p. 215-216.

Analyse par Schönflies: J F M, Bd. 26, J. 1895, S. 541-542.

11. Sur les nombres de Betti.

C R, t. 128, 13 mars 1899, p. 629-630.

Analyse par Schönflies: J F M, Bd. 30, J. 1899, S. 435.

12. Complément à l'«Analysis situs».

R C M P, t. 13, 26 mars 1899, p. 285-343.

13. Second complément à l'«Analysis situs».

P L M S, v. 32, June 14, 1900, p. 277-308.

Analyse par Schönflies: J F M, Bd. 31, J. 1900, S. 477-478.

14. Sur l'«Analysis situs».

C R, t. 133, 4 nov. 1901, p. 707-709.

Analyse par Schönflies: J F M, Bd. 32, J. 1901, S. 488.

15. Sur certaines surfaces algébriques. Troisième complément à l'«Analysis situs».

B S M F, t. 30, 1er sem. 1902, p. 49-70.

Analyse par Dehn: J F M, Bd. 33, J. 1902, S. 499-500.

44

16. Sur les cycles des surfaces algébriques. Quatrième complément à l'«Analysis situs».

J L, 5e s., t. 8, f. 2, 1902, p. 169-214.

Analyse par L. R.: B S M, 2e s., t. 30, 2e p., déc. 1906, p. 212.

Analyse par Dehn: J F M, Bd. 33, J. 1902, S. 500-501.

17. Cinquième complément à l'«Analysis situs».

R C M P, t. 18, 1904, 3 nov. 1903, p. 45-110.

Analyse par Dehn: J F M, Bd. 35, J. 1904, S. 504-505.

18. Sur la connexion des surfaces algébriques.

C R, t. 133, 9 déc. 1901, p. 969-973.

19. Sur un théorème de Géométrie.

R C M P, t. 33, 1er sem. 1912, 10 mars 1912.


45

SECTION III.

MÉCANIQUE ANALYTIQUE
ET
MÉCANIQUE CÉLESTE.

Extrait de l'Adresse prononcée par le Président, le Professeur G. H. DARWIN, en remettant a M. H. POINCARÉ la Médaille d'Or de la Société Royale Astronomique de Londres, le 9 février 19005.

La médaille de la Société Royale Astronomique est décernée cette année à M. Henri Poincaré, Membre de l'Académie des Sciences de Paris. Étant votre Président, le devoir agréable de lui présenter cette médaille m'incombe; mais, avant de l'accomplir, je dois m'efforcer de vous exposer les motifs qui ont déterminé le Conseil à prendre cette décision.

Les recherches de M. Poincaré sont de caractères si divers, et elles ont été faites avec une telle richesse de connaissances, que je n'ai que bien peu de confiance dans mon aptitude pour remplir cette tâche ardue; cependant, je ne puis qu'être heureux que mes fonctions de Président me procurent l'occasion de lui rendre l'hommage qui lui est dû, pour ses grands travaux dans le domaine des Mathématiques....

Je me propose de n'attirer votre attention que sur trois de ses voies de recherches, et celles-ci ont une portée astronomique directe. Mon choix est déterminé non seulement par l'intérêt intrinsèque des résultats, mais aussi par ce fait que les sujets traités ont pour moi un intérêt spécial. Je parlerai donc de ses recherches sur la théorie dynamique des marées, sur les figures d'équilibre des masses liquides en rotation et sur la théorie des mouvements des planètes et des satellites.

46

Le premier de ces sujets est traité dans deux Mémoires sur l'équilibre et le mouvement de l'Océan6. Le problème est environné de conditions d'une telle complexité qu'il a semblé convenable à l'Auteur de considérer séparément les diverses difficultés, comme un préliminaire à la solution de la question dans son ensemble. Il commence par la théorie de l'équilibre des marées, mais il se propose de tenir compte, non seulement de l'influence des continents qui font obstacle, mais aussi de celle de l'attraction de la mer sur elle-même....

L'objet de ces Mémoires n'était pas d'arriver à une solution définitive de tout cas concret idéal, mais de montrer comment les difficultés fondamentales pouvaient être surmontées par l'Analyse mathématique. Ici, comme ailleurs, M. Poincaré nous conduit bien au delà de l'exemple particulier considéré, et il pourra bien arriver que les principes énoncés trouvent en fait leur application dans d'autres domaines avant de la trouver dans le problème des marées.

Si important que soit le travail dont je viens de parler, le Mémoire sur les figures d'équilibre d'un liquide en rotation7 me semble se placer à un niveau bien plus élevé, car il marque une époque, non seulement dans l'étude du sujet lui-même, mais aussi dans celle de beaucoup d'autres. Il peut se faire que quelques-unes des généralisations qu'on y trouve aient flotté plus ou moins distinctement dans l'esprit de ceux qui ont précédé M. Poincaré dans cette voie, mais la théorie de la stabilité des systèmes en équilibre ou en mouvement uniforme a été, sans aucun doute, cristallisée et rendue transparente par ses efforts...

Nous arrivons maintenant à l'objet principal de la recherche. Une planète formée de fluide homogène a la forme d'un sphéroïde aplati et son équilibre est stable. Si l'on augmente sa vitesse angulaire de rotation, sa forme elliptique augmente aussi, mais la stabilité diminue. Lorsque l'ellipticité s'est accrue jusqu'à une certaine extension définie, la stabilité cesse et, par suite d'une rotation plus rapide, la figure devient instable. Au moment critique du changement, nous passons par une forme de bifurcation, et nous savons qu'il doit y avoir une autre série de figures qui ont aussi cette forme. Cette autre série se compose des ellipsoïdes de Jacobi, qui ont leurs trois axes inégaux. Mais il n'y a qu'un seul membre de la série de Jacobi qui soit une figure de révolution, et ce membre est identique à la forme de bifurcation trouvée en suivant la stabilité des figures aplaties. Il est vrai que ce Jacobien est aussi une forme limite, puisque la série se termine là; mais il n'est pas utile de nous arrêter pour approfondir ce point. Il résulte du principe d'échange des stabilités que, pour une rotation plus lente que la valeur critique, le Jacobien était stable. Tout cela était connu auparavant, mais le travail de M. Poincaré l'a présenté sous un jour nouveau et plus clair.

47 Ayant suivi la série stable des ellipsoïdes de révolution aplatis aux pôles jusqu'à la forme de bifurcation, M. Poincaré aiguille son train sur l'embranchement stable formé par les ellipsoïdes de Jacobi. Il suit cette voie jusqu'à ce qu'il trouve que cette forme devienne instable, et il annonce qu'il y a une nouvelle forme de bifurcation et qu'on arrive à un nouvel embranchement. A ce point, la ligne est presque bloquée par des obstacles mathématiques, de sorte qu'il ne peut s'avancer que juste ce qu'il faut pour s'apercevoir que la nouvelle figure a la forme d'une poire ayant sa partie la plus grande plus ou moins sphérique, et, en outre, une protubérance équatoriale que l'on peut comparer à l'extrémité qui tient au pédoncule.

Ce résultat, en apparence abstrait, explique l'évolution des systèmes planétaires d'une manière très intéressante. Considérons une masse liquide en rotation se refroidissant lentement. Si le refroidissement est assez lent, le frottement interne détermine la révolution de l'ensemble dans toutes ses parties avec la même vitesse angulaire. En premier lieu, quand la densité est petite, la figure est un ellipsoïde de révolution, mais il est légèrement aplati; par suite du refroidissement, l'aplatissement s'accroît jusqu'à ce que, à un certain moment, la figure de révolution cesse d'être une figure d'équilibre et que l'ellipsoïde commence à avoir une protubérance équatoriale. Il devient, en fait, un des ellipsoïdes de Jacobi. Ensuite cet ellipsoïde s'allonge jusqu'à ce que, à un certain moment, il commence à se creuser d'un sillon dissymétrique par rapport à un plan passant par l'axe de révolution; puis prend la forme d'une poire ayant son axe de révolution perpendiculaire au cœur de la poire. «La plus grande partie de la matière tend à se rapprocher de la forme sphérique, pendant que la plus petite partie sort de l'ellipsoïde par un des sommets du grand axe, comme si elle cherchait à se détacher de la masse principale.

«Il est difficile d'annoncer avec certitude ce qui arrivera ensuite si le refroidissement continue, mais il est permis de supposer que la masse ira en se creusant de plus en plus, puis en s'étranglant dans la partie moyenne et finira par se partager en deux corps isolés.»

Il est évident qu'un processus de cette sorte peut avoir joué son rôle dans l'évolution des systèmes célestes, et cette théorie semble se confirmer d'après les formes observées dans beaucoup de nébuleuses.

Le Mémoire de M. Poincaré m'est apparu comme une révélation, parce que, juste à l'époque où il fut publié, je venais d'essayer d'attaquer la question par le côté opposé, et de suivre les étapes de l'union en un seul de deux corps séparés—mais, hélas! je dois admettre que mon travail ne contenait pas de principes généraux de grande portée—ni aucune lumière48 sur la stabilité des systèmes que j'essayais d'imaginer—ni rien de tout ce qui rend le Mémoire de M. Poincaré un travail qui marquera toujours une époque importante, non seulement dans l'histoire de l'Astronomie évolutionnaire, mais aussi dans celle du domaine plus vaste de la Dynamique générale.

J'arrive maintenant à la troisième contribution astronomique de M. Poincaré; je veux parler de son Livre sur la Mécanique céleste8.... Il est probable que, pendant le prochain demi-siècle, ce Livre sera la mine d'où des chercheurs plus humbles extrairont leurs matériaux. Cette mine est si vaste et le nombre des idées est si grand, que je me trouve en face d'une difficulté considérable pour parler de ce travail comme il le faudrait....


Le caractère dominant du mode de travail de M. Poincaré me semble consister en une immense ampleur des généralisations, de sorte que le grand nombre des déductions possibles est quelquefois presque troublant. Cette puissance de saisir les principes abstraits est la marque de l'intellect du vrai mathématicien; mais pour celui qui est plutôt habitué à traiter le concret, la difficulté de se rendre maître du raisonnement est quelquefois grande. Pour cette seconde classe d'esprits, le procédé le plus facile est l'examen de quelque cas simple et concret, pour s'élever ensuite vers l'aspect plus général du problème. Je me figure que M. Poincaré doit suivre dans son travail une autre route que celle-là, et qu'il trouve plus facile de considérer d'abord les issues les plus larges pour descendre de là vers des cas plus spéciaux. Il est rare de posséder cette faculté à un haut degré, et l'on ne peut s'étonner que celui qui la possède ait amassé un noble héritage pour les hommes de science des générations futures.

En vous remettant cette médaille, M. Poincaré, je désire vous exprimer de la part de notre Société qu'en cherchant à vous faire honneur, nous nous sentons nous-mêmes très honorés.

M N, v. 60, Feb. 9, 1900, p. 406-415.


49

1.

MÉCANIQUE ANALYTIQUE.

OUVRAGES.

1. I. Cinématique et Mécanismes.

II. Potentiel et Mécanique des fluides.

Cours professé à la Sorbonne pendant l'année 1885-1886. C P A.

1re éd., rédigée par H. F. et A. G.: 1886, in-4, autographiée; I: 140 p.; II: 140 p.

2e éd., rédigée par A. Guillet: Paris, G. C. et C. N., 1899, gr. in-8. 385 p.

Analyse de la 2e édition par E. Lampe: F P, 55 J., Abt. 1, 1899. S. 339-340.

Analyse de la 2e édition par Ernest W. Brown: B A M S, v. 6, 1899-1900, March 1900, p. 249-252.

2. Figures d'équilibre d'une masse fluide.

Leçons professées à la Sorbonne en 1900, rédigées par L. Dreyfus. C P A, Paris, C. N., 1902, gr. in-8, 211 p.

MÉMOIRES. NOTES.

Masses fluides en rotation.

1 à 6. Sur l'équilibre d'une masse fluide animée d'un mouvement de rotation.

C R, t. 100, 9 fév. 1885, p. 346-348.

B A, t. 2, mars 1885, p. 109-118.

C R, t. 100, 20 avr. 1885, p. 1068-1070.

A M, t. 7, 16 juil. 1885, p. 259-380.

C R, t. 101, 27 juil. 1885, p. 307-309.

50

B A, t. 2, sept. 1885, p. 405-413.

Appréciation du Mémoire no 4 par Sir G. H. Darwin dans son Address à M. H. Poincaré: M N, v. 60, Feb. 9, 1900, p. 409-411.

Analyse par Wangerin des Notes nos 1, 3, 5 et du Mémoire no 4: F P, 41 J., Abt. 1, 1885, S. 309-315.—J F M, Bd. 17, J. 1885, S. 864-871.

Analyse du Mémoire no 4 par O. Callandreau: B A, t. 3, mai 1886, p. 243-252.

Analyse par E. Cosserat du Mémoire no 4: B S M, 2e s., t. 14, 2e p., avr. 1890, p. 64-69.

7. Sur l'équilibre d'une masse fluide en rotation. Réponse à M. Mathiessen.

C R, t. 102, 27 avr. 1886, p. 970-972.

Analyse par F. Kötter: F P, 42 J., Abt. 1, 1886, S. 335;—J F M, Bd. 18, J. 1886, S. 844.

8. Sur un théorème de M. Liapounoff relatif à l'équilibre d'une masse fluide.

C R, t. 104, 7 mars 1887, p. 622-625.

Analyse: B S M, 2e s., t. 12, 2e p., nov. 1888, p. 178-179.

9. Sur l'équilibre d'une masse hétérogène en rotation.

C R, t. 106, 4 juin 1888, p. 1571-1574.

10. Sur l'équilibre d'un fluide en rotation.

B A, t. 16, mai 1899, p. 161-169.

11. 12. Sur la Stabilité de l'Équilibre des Figures Pyriformes affectées par une Masse fluide en Rotation.

P T R S, s. A, v. 198, 1902, oct. 29, 1901, p. 333-373.

P R S, v. 69, oct. 29, 1901, Abstract, p. 148-149.

Analyse par Brix: J F M, Bd. 32, J. 1901, S. 712;—Bd. 33, J. 1902, S. 740-741.

Analyse par E. Lampe: F P, 58 J., Abt. 1, 1902, S. 314-316.

Analyse par J. T.: B S M, 2e s., t. 32, 2e p., mars 1908, p. 44-45.

Principes de la Mécanique analytique.

13. Sur une forme nouvelle des équations de la Mécanique.

CR, t. 132, 18 fév. 1901, p. 369-371.

Traduction en russe par A.-V. Vassilief: B S P M K, 2e s., t. 10, no 3, 1901, p. 57-59.

51

14. Sur une généralisation de la méthode de Jacobi.

C R, t. 149, 13 déc. 1909, p. 1105-1108.

Analyse par E. Lampe: F P, 65 J., Abt. 1, 1909, S. 77.

15. 16. Sur les solutions périodiques et le principe de moindre action.

C R, t. 123, 30 nov. 1896, p. 915-918.

C R, t. 124, 5 avr. 1897, p. 713-716.

Analyse par E. Lampe: J F M, Bd. 27, J. 1896, S. 608;—Bd. 28, J. 1897, S. 644.—F P, 53 J., Abt. 1, 1897, S. 341.

Analyse: B S M, 2e s., t. 22, 2e p., fév., juil. 1898, p. 51, 140-141.

ARTICLES.

1. Les formes d'équilibre d'une masse fluide en rotation.

R O, t. 3, 15 déc. 1892, p. 809-815.

2. Les idées de Hertz sur la Mécanique.

R O, t. 8, 30 sept. 1897, p. 734-743.


2.

MÉCANIQUE CÉLESTE.

OUVRAGES.

1. Théorie du Potentiel newtonien.

Leçons professées à la Sorbonne pendant le premier semestre 1894-1895, rédigées par Édouard Le Roy et Georges Vincent.

Paris, C. N., 1899, gr. in-8, 366 p.

Analyse par A. E. H. L.: P M, 5e s., v. 47, June 1899, p. 573-575.

Analyse par G. H. B.: N, vol. 60, Aug. 31, 1899, p. 410.

52

2. Les Méthodes nouvelles de la Mécanique céleste.

Tome I: Solutions périodiques. Non existence des intégrales uniformes. Solutions asymptotiques.

Tome II: Méthodes de Newcomb, Gyldén, Lindstedt et Bohlin.

Tome III: Invariants intégraux. Solutions périodiques du deuxième degré. Solutions doublement asymptotiques.

Paris, G.-V., gr. in-8: t. I, 1892, 385 p.; t. II, 1894, viii-479 p.; t. III, 1899, 414 p.

Présentation du tome I par M. H. Poincaré à l'Académie des Sciences: C R, t. 115, 28 nov. 1892, p. 905-907.

Analyse du tome I par O. Callandreau: B A, t. 9, avr. 1892, p. 164-181.

Analyse du tome I par Ernest W. Brown; B N Y M S, v. 1, 1891-1892, Apr. 1892, p. 206-214.

Analyse des tomes I, II, III par E. Lampe: F P, 48 J., Abt. 1, 1892 S. 211-213;—55 J., Abt. 1, 1899, S. 371-372.—J F M, Bd. 24, J. 1892, S. 1130-1132;—Bd. 25, J. 1893 u. 1894, S. 1847-1849;—Bd. 30, J. 1899, S. 834-835.

Analyse des tomes I, II, III par M. Noether: Z M P, 38. J., 2. Ht. 1893, S. 58-62;—41. J., 4. Ht., 1896, S. 148-151;—45. J., 1. Ht. 1899, S. 23-24.

Analyse du tome I par G. W. Hill, dans une Presidential Address (Dec. 27, 1895): B A M S, v. 2, 1895-1896, Feb. 1896, p. 133-136.

Analyse du tome I par J. Perchot: B S M, 2e s., t. 23, 1re p., sept., oct. 1899, p. 213-242, 245-260.

Analyse du tome I par Sir G. H. Darwin dans son Address à M. H. Poincaré: M N, v. 60, Feb. 9, 1900, p. 411-415.

Analyse du tome III par Maurice Hamy: R O, t. 11, 15 mars 1900, p. 254-255.

Analyse des tomes I, II, III par L.: L C D, 51 J., 1900, p. 267.

3. Leçons de Mécanique céleste professées a la Sorbonne.

Tome I: Théorie générale des perturbations planétaires.

Tome II, Ire partie: Développement de la fonction perturbatrice; IIe partie: Théorie de la Lune.

Tome III: Théorie des marées.

Le tome III a été rédigé par E. Fichot.

Paris, G.-V., gr. in-8: t. I, 1905, VI-367 p.; t. II, Ire p., 1907,iv-167 p. t. II, IIe p., 1909, iv-137 p.; t. III, 1910, iv-472 p.

Présentation du tome III par M. H. Poincaré à l'Académie des Sciences: C R, t. 150, 14 mars 1910, p. 667.

53

Analyse du tome I par H. Andoyer: B A, t. 22, nov. 1905, p. 436-445;—B S M, 2e s., t. 30, 1re p., fév. 1906, p. 33-43.

Analyse des tomes I et II: M M P, 17. J., 1906, Lit., S. 5-8;—18. J., 1907, Lit., S. 58-59.

Analyse des tomes I et II par A. Buhl: E M, 8e a., 15 mai 1906, p. 248-250;—11e a., 15 mai 1909, p. 231-233.—Gaceta de Matematicas, Madrid, Ano 4, 1906, gr. in-8, p. 213-214.

Analyse des tomes I et II: Z M P, Bd. 55, 1907, p. 418-420.

Analyse du tome II par E. Lampe: J F M, Bd. 38, J. 1907, S. 952.

Analyse par E. Strömgren et P. Heegaard du tome I et du tome II, 1re p.: V A G, 43 J., 1908, S. 2-25.

Analyse des tomes I et II par F. R. Moulton: B A M S, v. 15, 1908-1909, Feb. 1909, p. 258-261.

Analyse par P. Stroobant du tome II, IIe p.: Ciel et Terre, Bruxelles, 30e a., 1er mai 1909, in-8, p. 126-127.

Analyse du tome II, IIe p. par A. Lambert: B S M, 2e s., t. 35, 1re p., mars 1911, p. 65-67.

Analyse du tome III par A. Blondel: B S M, 2e s., t. 35, 1re p., juil. 1911, p. 188-195.

4. Cours d'Astronomie générale, avec un Supplément intitulé Mécanique céleste.

Professé à l'École Polytechnique en 1906-1907.

École Polytechnique, in-4 jésus, autographié, 208+21 p.

5. Leçons sur les Hypothèses cosmogoniques.

Professées à la Sorbonne pendant le premier semestre de l'année scolaire 1910-1911, rédigées par Henri Vergne.

M. H. Poincaré a exposé les hypothèses qui ont une base scientifique solide, en a fait une analyse approfondie et a signalé les objections que soulèvent les idées émises.

Paris, Hn., 1911, gr. in-8, xv-294 p.

Reproduction de la Préface: R M, 6e a., t. 12, 10 oct. 1911, p.385-403.

Traduction en roumain par V. Anestin du Chapitre IX (Teoria cosmogonica a lui Sir Norman Lockyer): Orion, Bucuresti, Avruil 5, Jan. 1912, in-8, p. 57-60.

Présentation par M. H. Poincaré à l'Académie des Sciences: C R, t. 153, 30 oct. 1911, p. 795.

Analyse par Er. Lebon: B S M, 2e s., t. 35, 1re p., déc. 1911, p. 309-319.

Analyse par M. M.: Le Temps, Paris, 51e a., 25 déc. 1911, in-fol., p. 3-4.

Analyse par L. Dunoyer: Le Radium, Paris, M., t. 9, mars 1912, in-4 jésus, p. 77-79.

Analyse par A. Buhl: E M, 14e a., 15 mars 1912, p. 167-168.

Analyse par L. Houllevigue: Analyse Critique des Livres Nouveaux, Paris, 2e s., 7e a., 15 avr. 1912, in-8, p. 61-63.

54

MÉMOIRES. NOTES.

Problème des trois corps.

1. 2. Sur certaines solutions particulières du problème des trois corps.

C R, t. 97, 23 juil. 1883, p. 251-252.

B A, t. 1, fév. 1884, p. 65-74.

Analyse par E. Lampe: F P, 39 J., Abt. 1, 1883, S. 211.—J F M, Bd. 15, J. 1883, S. 833.

3. Sur le Problème des trois corps et les équations de la Dynamique.

Mémoire couronné, le 21 janvier 1889, du Prix fondé par S. M. le Roi de Suède et de Norvège, Oscar II, à l'occasion de son soixantième anniversaire.

A M, t. 13, 28 avr. 1890, p. 1-270.

Analyse par A. Mahlke: F P, 46 J., Abt. 1, 1890, S. 263-268.

Analyse par M. Noether: V A G, 25. J., 4. Ht., 1890, p. 258-292.

4. Sur le problème des trois corps.

L'Auteur présente quelques-uns des résultats obtenus dans le Mémoire couronné (no 3).

B A, t. 8, janv. 1891, p. 12-24.

5. Sur l'application de la méthode de M. Lindstedt au problème des trois corps.

Le but de la présente Note est de montrer d'abord que cette méthode peut être appliquée à l'étude des variations séculaires des planètes, mais qu'elle ne peut, sans modification, s'étendre au problème des trois corps, et quelles sont les modifications à faire pour que cela devienne possible. H. P.

C R, t. 114, 7 juin 1892, p. 1305-1309.

Analyse par E. Lampe: F P, 48 J., Abt. 1, 1892, S. 213-214.—J F M, Bd. 24, J., 1892, S. 1136-1137.

6. 7. Sur une forme nouvelle des équations du problème des trois corps.

C R, t. 123, 14 déc. 1896, p. 1031-1035.

B A, t. 14, fév. 1897, p. 53-67.—A M, t. 21, 20 juil. 1897, p. 83-98.

Analyse par E. Lampe: F P, 52 J., Abt. 1, 1896, S. 259.—J F M, Bd. 27, J. 1896, S. 612;—Bd. 28, J. 1897, S. 652.

55

8. Sur la méthode de Bruns.

On sait que Bruns a démontré que le problème des trois corps n'admet pas d'autres intégrales algébriques que les intégrales connues. L'importance de cette méthode, qui est certainement applicable à d'autres équations analogues, m'engage à signaler certains cas d'exception au théorème de Bruns et à rectifier certaines défectuosités de sa démonstration, qui, heureusement, ne lui enlèvent pas sa valeur. H. P.

C R, t. 123, 28 déc. 1896, p. 1224-1228.

9. Sur l'intégration des équations du problème des trois corps.

L'Auteur expose une méthode qui permet de développer les coordonnées des astres en séries ne contenant que des sinus et des cosinus.

B A, t. 14, juil. 1897, p. 241-270.

Séries.

10. Sur l'intégration des équations différentielles par les séries.

C H, t. 94, 27 fév. 1882, p. 577-578.

Analyse par Hamburger: J F M, Bd. 14, J. 1882, S. 285.

11 à 13. Sur les séries trigonométriques.

Les séries étudiées dans ces trois Notes jouent un rôle dans la Mécanique céleste. La seconde contient des observations au sujet d'une méthode nouvelle, proposée par M. Lindstedt, pour résoudre le problème des trois corps. Cette méthode consiste à exprimer les coordonnées des trois masses par des séries purement trigonométriques. Elle donne quelque intérêt à la première Note. Dans la troisième, M. H. Poincaré complète la discussion relative à la convergence de ce genre de séries.

C R, t. 95, 30 oct. 1882, p. 766-768.

C R, t. 97, 24 déc. 1883, p. 1471-1473.

C R, t. 101, 7 déc. 1885, p. 1131-1134.

14. Sur une équation différentielle.

Dans l'application de sa méthode générale pour l'étude des mouvements des corps célestes, M. Gyldén a été conduit à une équation différentielle remarquable. MM. Gyldén et Lindstedt ont donné des procédés d'intégration de cette équation par approximations successives. C'est pourquoi il a paru à M. H. Poincaré qu'il y avait quelque intérêt à étudier cette équation.

C R, t. 98, 31 mars 1884, p. 793-795.

56

15. Sur une méthode de M. Lindstedt.

Pour une équation différentielle que l'on rencontre en Mécanique céleste, M. Lindstedt a donné une méthode approfondie de l'intégration, dont M. H. Poincaré complète quelques points, en réservant la question de convergence.

B A, t. 3, fév. 1886, p. 57-61.

16. Sur les séries de M. Lindstedt.

Il est une équation que l'on rencontre souvent en Mécanique céleste et qui a déjà fait l'objet de nombreuses recherches. M. Lindstedt a proposé, pour l'intégration de cette équation, des séries qui ne sont pas convergentes au sens rigoureux du mot, mais qui peuvent rendre de grands services dans la pratique. M. H. Poincaré présente la méthode de M. Lindstedt en partant d'un point de vue nouveau.

C R, t. 108, 7 janv. 1889, p. 21-24.

Analyse par Dziobek: J F M, Bd. 21, J. 1889, S. 1219.

Analyse: B S M, 2e s., t. 15, 2e p., janv. 1891, p. 28-29.

17. Sur un procédé de vérification applicable au calcul des séries de la Mécanique céleste.

Ces séries sont dans l'Ouvrage intitulé: Les Méthodes nouvelles de la Mécanique céleste, par H. Poincaré.

C R, t. 120, 14 janv. 1895, p. 57-59.

18. Sur la divergence des séries de la Mécanique céleste.

Il s'agit des preuves que M. H. Poincaré a données de la divergence des séries de M. Lindstedt.

C R, t. 122, 2 mars 1896, p. 497-499.

19. Sur la divergence des séries trigonométriques.

C R, t. 122, 9 mars 1896, p. 557-559.

20. Sur la façon de grouper les termes des séries trigonométriques que l'on rencontre en Mécanique céleste.

L'Auteur complète la méthode précédente en montrant comment il convient de grouper les termes des séries trigonométriques obtenues, afin d'arriver à une convergence aussi rapide que possible.

B A, t. 15, août 1898, p. 289-310.

57

21. Sur la méthode horistique de Gyldén.

C R, t. 138, 18 avr. 1904, p. 933-936.

Traduction en allemand: P Z, 5. J., 13. Juni 1904, S. 385-386;—Analysée par E. Lampe: F P, 60 J., Abt. 1, 1904, S. 110.

Analyse par Dziobek: J F M, Bd. 35, J. 1904, S. 960.

22. Sur la méthode horistique de Gyldén.

M. H. Poincaré relève les fautes importantes, au point de vue de la convergence des séries, qui se trouvent dans l'Ouvrage de Gyldén, intitulé Nouvelles recherches sur les séries employées dans les théories des planètes: Stockholm, 1892, in-4.

A M, t. 29, 10 mars 1905, 235-271.

Analyse par Dziobek: J F M, Bd. 36, J. 1905, S. 1001.

23. Sur la méthode horistique. Observations sur l'Article de M. Backlund.

B A, t. 21, août 1904, p. 292-295.

Fonction perturbatrice.

24 à 27. Sur le développement approché de la fonction perturbatrice.

C R, t. 112, 2 fév. 1891, p. 269-273.

B A, t. 14, déc. 1897, p. 449-466.

C R, t. 126, 31 janv. 1898, p. 370-373.

B A, t. 15, fév., déc. 1898, p. 70-71, 449-464.

Analyse par Dziobek des Notes nos 24, 26: J F M, Bd. 23, J. 1891, S. 1225-1227;—Bd. 29, J. 1898, S. 805.

28 à 31. Sur les périodes des intégrales doubles et le développement de la fonction perturbatrice.

C R, t. 124, 8 juin 1897, p. 1259-1260.

J L, 5e s., t. 3, f. 3, 1897, p. 203-276.

B A, t. 14, sept. 1897, p. 353-354.

J L, 6e s., t. 2, f. 2, 1906, p. 135-189.

Analyse par E. Lampe de la Note no 28; F P, 53 J., Abt. 1, 1897, S. 337.

Analyse par Dziobek de la Note no 28 et du Mémoire no 29: J F P, Bd. 28, 1897, S. 847-849.

Analyse du Mémoire no 29: B S M, 2e s., t. 27, 2e p., nov. 1903, p.203-276.

58

Terre.

32. Sur la théorie de la précession.

Stockwell a cherché à déterminer les variations séculaires de l'équateur terrestre qui sont la conséquence des variations séculaires de l'écliptique. Mais récemment M. Backlund a repris ces calculs par la méthode de Gyldén et est arrivé à des résultats entièrement différents. M. H. Poincaré prouve que Stockwell a raison.

C R, t. 132, 14 janv. 1901, p. 50-55.

Lettre de M. O. Backlund: C R, t. 132, 11 fév. 1901, p. 291-292.

Analyse par E. Lampe: J F M, Bd. 32, J. 1901, S. 933.

33. 34. Sur la figure de la Terre.

C R, t. 107, 9 juil. 1888, p. 67-71.

B A, t. 6, janv., fév. 1889, p. 5-11, 49-60.

35. Les mesures de gravité et la Géodésie.

B A, t. 18, janv. 1901, p. 5-39.

Analyse par Furtwängler: F P, 58 J., Abt. 3, 1902, S. 462-463.

36. Sur les déviations de la verticale en Géodésie.

B A, t. 18, juil. 1901, p. 257-276.

Théorie des Marées.

37. Sur l'équilibre des mers.

C R, t. 118, 30 avr. 1894, p. 948-952.

Analyse par F. Kötter: F P, 50 J., Abt. 1, 1894, S. 362;—J F M, Bd. 25, J. 1893 u. 1894, S. 1367-1368.

38. Sur l'équilibre et les mouvements des mers.

J L, 5e s., t. 2, f. 1, f. 2, 1896, p. 57-102, 217-262.

Analyse des Mémoires nos 37 et 38 par Sir G. Darwin dans son Address à M. H. Poincaré: M N, v. 60, Feb. 9, 1900, p. 406-409.

Analyse par F. Kötter: J F M, Bd. 27, J. 1896, S. 652-653.—F P, 53 J., Abt. 1, 1897, S. 385.

Analyse par L. R.: B S M, 2e s., t. 17, 2e p., sept. 1903, p. 144-145.

59

39. Sur un théorème général relatif aux marées.

B A, t. 20, juin 1903, p. 215-229.

40. Anwendung der Theorie der Integralgleichungen auf die Flutbewegung des Meeres.

S V, 23 avr. 1909, S. 11-19.

Théorie de la Lune.

41. Sur les équations du mouvement de la Lune.

B A, t. 17, mai 1900, p. 167-204.

42. Sur les petits diviseurs dans la théorie de la Lune.

B A, t. 25, sept. 1908, p. 321-360.

43. Sur le mouvement du périgée de la Lune.

B A, t. 17, mars 1900, p. 87-104.

44. Sur le déterminant de Hill.

M. Hill a ramené le calcul du mouvement du périgée de la Lune à l'intégration d'une certaine équation et a obtenu une équation de même forme pour le mouvement du nœud. Par une méthode différente, M. H. Poincaré a trouvé qu'il faut diviser par 4 le déterminant obtenu par M. Hill.

B A, t. 17, avr. 1900, p. 134-143.

Théorie des Planètes.

45. Sur la détermination des orbites par la méthode de Laplace.

Bien que la méthode de Laplace soit tombée dans un injuste discrédit, elle me paraît présenter certains avantages dont le principal est la facilité de se servir de plus de trois observations; c'est ce qui me détermine à publier quelques réflexions qu'elle m'inspire. H. P.

B A, t. 23, mai 1906, p. 161-187.

46. Les solutions périodiques et les planètes du type d'Hécube.

B A, t. 19, mai 1902, p. 177-198.

60

47. Sur les planètes du type d'Hécube.

B A, t. 19, août 1902, p. 289-310.

48. Sur la stabilité de l'anneau de Saturne.

B A, t. 2, nov. 1885, p. 507-508.

Analyse par Wangerin: F P, 41 J., Abt. 3, 1885, S. 53.

49. Sur les satellites de Mars.

C R, t. 107, 3 déc. 1888, p. 890-892.

Quadratures mécaniques.

50. Sur les quadratures mécaniques.

B A, t. 16, oct. 1899, p. 382-387.

51. Observations au sujet de l'Article de F. H. Seares, intitulé Sur les quadratures mécaniques.

B A, t. 18, nov. 1901, p. 406-420.

Hypothèses cosmogoniques.

52. Sur la précession des corps déformables.

I. Croûte solide et noyau liquide.—II. Liquide homogène.—III. Rigidité gyrostatique.

B A, t. 27, sept. 1910, p. 321-356.

53. Remarque sur l'hypothèse de Laplace.

Laplace, dans son hypothèse cosmogonique, suppose que la nébuleuse primitive, en se contractant, abandonne une série d'anneaux d'où dérivent ensuite les différentes planètes. Roche a déterminé les conditions de formation des anneaux. M. H. Poincaré examine quelles sont les conditions de stabilité des anneaux dès qu'ils sont formés, s'occupe de la question du sens des rotations et montre que les rotations ne peuvent devenir directes que par l'action des marées et par un mécanisme imaginé par Roche.

B A, t. 28, juil. 1911, p. 251-266.

61

ARTICLES.

1. Le problème des trois corps.

R O, t. 2, 15 janv. 1891, p. 1-5.

2. Sur la stabilité du système solaire.

A B L, 1898, p. B1-B16.—R R, 4e s., t. 9, 14 mai 1898, p. 609-613.

Traduction en anglais: N, v. 58, June 23, 1898, p. 183-185.

Analyse dans l'Histoire abrégée de l'Astronomie, par Ernest Lebon: Paris, G.-V., 15 juin 1899, p. 227-228.

3. 4. La décimalisation de l'heure et de la circonférence.

E E, t. 11, 12 juin 1897, 529-531.

Lettre de M. H. Poincaré: E E, t. 12, 26 juin 1897, p. 40.

5. Note sur la XVIe Conférence de l'Association géodésique internationale.

Cette Conférence générale a été tenue successivement à Londres et à Cambridge du 21 au 29 septembre 1909, sous la présidence du Général Bassot.

A B L, 1911, p. A1-A29.

6. Le démon d'Arrhenius.

Maxwell a écrit que, pour faire passer de la chaleur d'un corps froid sur un corps chaud, il faudrait un être assez petit et assez intelligent, aux sens déliés, pour faire le triage de ces objets minuscules, et séparer les molécules chaudes, c'est-à-dire rapides, des molécules froides, c'est-à-dire lentes; c'est cet être fictif que l'on appelle le démon de Maxwell. Pour conserver au Monde la vie, en maintenant les Nébuleuses froides et les Soleils chauds, il faudrait une sorte de démon de Maxwell automatique: c'est ce qu'Arrhenius croit avoir trouvé.

Hommage à Louis Olivier, Paris, 26 sept. 1911, tirage à 215 Exemplaires, in-4 jésus, p. 281-287.

RAPPORTS.

1. Rapport sur le projet de révision de l'arc méridien de Quito, accompagné d'une Carte.

C R, t. 131, 23 juil. 1900, p. 215-236.—R O, t. 11, 15 août 1900, p. 925-935.—A B L, 1901, p. B1-B37.—C R A G, 13e, Paris, 25 sept.-6 oct. 1900, 2e v., 1901, p. 403-419.

62

2 à 6. Rapports présentés au nom de la Commission chargée du contrôle scientifique des opérations géodésiques de l'Équateur, accompagnés d'une Carte.

C R, t. 134, 28 avr. 1902, p. 965-972.—C R A G, 14e, Copenhague, 4-13 août 1903, 2e v., 1905, p. 113-126.

C R, t. 136, 6 avr. 1903, p. 861-871.

C R, t. 138, 25 avr. 1904, p. 1013-1019.

C R, t. 140, 10 avr. 1905, p. 998-1006.—Reproduction des Rapports nos 3, 4, 5: C R A G, 15e, Budapest, 20-28 sept. 1906, 1er v. 1908, p. 289-304.

C R, t. 145, 5 août 1907, p. 366-370.

Analyse par Furtwängler de la Note no 3: F P, 59 J., Abt. 3, 1903, S. 390-391.

Analyse par Börsch de la Note no 3: J F M, Bd. 34, J. 1903, S. 995.

7. Rapport sur la proposition d'unification des jours astronomique et civil.

Rédigé par M. Henri Poincaré, pour répondre, au nom du Bureau des Longitudes, à l'invitation qu'avait faite à ce Bureau M. le Ministre de l'Instruction publique de donner son avis sur une telle proposition, émise par l'Institut canadien et par la Société astronomique de Toronto.

A B L, 1895, p. E1-E10.

Analyse par A. Griffiths: A P P, v. 1, 1895, p. 158-159.

8. Rapport sur les résolutions de la Commission chargée de l'étude des projets de Décimalisation du Temps et de la Circonférence.

En exécution de la Dépêche de M. le Ministre de l'Instruction publique en date du 20 octobre 1896, le Bureau des Longitudes a constitué, le 15 février 1897, une Commission de vingt-deux membres chargée d'examiner les divers projets de Décimalisation du Temps et de la Circonférence. A la séance du 7 avril 1897, la Commission a nommé comme Rapporteur son secrétaire, M. Henri Poincaré. Sur l'ordre de M. le Ministre de l'Instruction publique, le Rapport de ce savant a été imprimé, par l'Imprimerie Nationale, en un fascicule in-4, de 12 pages, qui se trouve dans les Archives du Bureau des Longitudes, avec le Manuscrit même de l'Auteur.

CONFÉRENCE.

1. Conférence sur les comètes.

Faite à la Société industrielle de Mulhouse, le 26 octobre 1910.

Bulletin de la Société industrielle de Mulhouse, t. 80, 1910, gr. in-8, p. 311-323.


63

SECTION IV.

PHYSIQUE MATHÉMATIQUE.

Extrait du Rapport sur le Prix BOLYAI présenté par M. GUSTAVE RADOS a l'Académie Hongroise des Sciences.

Il faut signaler le Mémoire Sur les équations aux dérivées partielles de la Physique mathématique, publié en 1886. Un grand nombre des problèmes de la Physique mathématique conduisent à l'équation aux dérivées partielles de Laplace, ou à une équation toute semblable du second ordre. Malgré la grande variété des conditions aux limites qui interviennent pour chacun d'eux, leur essence et leur théorie présentent un certain air de famille qui permet d'espérer la découverte d'un certain nombre de propositions communes à tous. Malheureusement leur trait commun réside dans les énormes difficultés que l'on rencontre lorsqu'on veut démontrer l'existence même des solutions. Dans son travail, M. Poincaré entreprend de surmonter ces difficultés pour toute une série de ces problèmes. C'est ainsi qu'il parvient à sa méthode si originale du balayage. De la même manière large, M. Poincaré a aussi traité le problème du refroidissement d'un corps, posé par Fourier.

C'est à cet ordre de travaux qu'il faut rattacher aussi le Mémoire de 1894 Sur les équations de la Physique mathématique, dans lequel M. Poincaré aborde plusieurs des questions les plus difficiles et les plus importantes de la Physique mathématique. Le problème des vibrations d'une membrane tendue, la théorie de l'élasticité, la théorie du mouvement de la chaleur, de Fourier, et beaucoup d'autres problèmes de la Physique mathématique se ramènent à la solution de l'équation aux dérivées partielles du second ordre

[partial]^2v/([partial]x)^2 + [partial]^2v/([partial]y)^2 + [partial]^2v/([partial]z)^2 + [Grec: xi]v + f = 0,

64

dans laquelle ξ désigne une constante et ƒ une fonction donnée des coordonnées. M. Poincaré traite en particulier le problème aux limites suivant: Déterminer une solution de l'équation précédente, continue ainsi que ses dérivées des deux premiers ordres à l'intérieur d'un domaine donné et satisfaisant, sur la surface qui limite ce domaine, à la condition

 [partial]v/[partial]n + [partial]v = 0;

ou b désigne une constante et [partial]v/[partial]n la dérivée de v suivant la normale. Par l'application originale de méthodes qui dérivent en partie de M. Schwarz et en partie de M. Neumann, il obtient la solution rigoureuse du problème dans le plus grand nombre des cas. Signalons la série de propositions qui se rapportent à des intégrales [integral][([partial]v/[partial]n)^2 + ([partial]v/[partial]y)^2 + ([partial]v/[partial]z)^2] d[Grec: tau] et qui deviennent entre ses mains un instrument puissant de recherche.

C'est également à ce groupe de travaux qu'il convient de rattacher le Mémoire intitulé: La méthode de Neumann et le problème de Dirichlet. On connaît la méthode par laquelle M. C. Neumann a pu obtenir une fonction harmonique à l'intérieur d'un certain domaine quand on connaît les valeurs de cette fonction sur la surface supposée convexe qui limite ce domaine. M. Poincaré a étendu cette méthode au cas où la surface limite a, en chaque point, un plan tangent déterminé et deux rayons principaux de courbure déterminés, sa forme n'étant assujettie à aucune autre condition. Nous noterons ici l'importance particulière que prennent dans ces recherches les fonctions nommées fondamentales par M. Poincaré. A chaque surface limite correspond une suite infinie de telles fonctions, qui se transforment précisément dans les fonctions sphériques, quand la surface limite devient une sphère. M. Poincaré montre qu'une fonction arbitraire peut se développer en une série de fonctions fondamentales, les coefficients du développement se déterminant par des intégrales multiples. Si ces fonctions sont connues pour une surface déterminée, on peut résoudre sans difficulté le problème de Dirichlet, tant pour l'espace intérieur à cette surface que pour l'espace extérieur.

B S M, 2e s., t. 30, 1re p., avr. 1909, p. 114-115.

65

OUVRAGES.

(Voir no 2, p. 27).

1. Capillarité.

Leçons professées à la Sorbonne pendant le second semestre 1888-1889, rédigées par J. Blondin. C P A.

Paris, 1895, G. C., gr. in-8, 189 p.

2. Leçons sur la Théorie de l'Élasticité.

Professées à la Sorbonne pendant le premier semestre de 1890-1891, rédigées par E. Borel et J. Drach. C P A.

Paris, G. C., 1892, gr. in-8, 210 p.

Analyse par Marcel Brillouin: B S M, 2e s., t. 17, 1re p., juin 1893, p. 142-145.

3. Théorie des Tourbillons.

Leçons professées à la Sorbonne pendant le second semestre 1891-1892, rédigées par M. Lamotte. C P A.

Paris, G. C., 1893, gr. in-8, 212 p.

4. Théorie analytique de la propagation de la Chaleur.

Leçons professées à la Sorbonne pendant le premier semestre 1893-1894, rédigées par MM. Rouyer et Baire. C P A.

Paris, G. C., 1895, gr. in-8, 316 p.

Analyse: B S M, 2e s., t. 20, 1re p., déc. 1896, p. 310-322.

5. Thermodynamique.

Leçons professées à la Sorbonne pendant le premier semestre 1888-1889, rédigées par J. Blondin. C P A.

Paris, G. C., 1892, gr. in-8, xix-432 p.; 2e éd., G.-V., 1908, xix-458 p.

Traduction en allemand par W. Jäger et E. Gumlich: Berlin, J. S., 1893, gr. in-8;—Analysée par Siebert: J F M, Bd. 25, J. 1893 u. 1894, S. 1776-1777.

Analyse par P. G. Tait: N, v. 45, Jan. 14, 1892, p. 245-246.

66

6. Théorie mathématique de la Lumière.

[Tome] I.

Leçons professées à la Sorbonne pendant le premier semestre 1887-1888, rédigées par J. Blondin. C P A.

Paris, G. C., 1889, gr. in-8, iv-408 p.

[Tome] II: Nouvelles études sur la diffraction. Théorie de la dispersion de Helmholtz.

Leçons professées à la Sorbonne pendant le premier semestre 1891-1892, rédigées par Lamotte et D. Hurmuzescu. C P A.

Paris, G. C., 1892, gr. in-8, vi-310 p.

Traduction en allemand du tome I par E. Gumlich et W. Jäger: Berlin, J. S., 1894, gr. in-8;—Analysée par Wangerin: J F M, Bd. 25, 1893 u. 1894, S. 1604-1606.

Analyse du tome I par M. BR.: B S M, 2e s., t. 13, août 1889, p. 173-198.

Analyse des tomes I et II par A. Basset: N, v. 47, Feb. 23, 1893, p. 386-387.

7. Les Oscillations électriques.

Leçons professées à la Sorbonne pendant le premier semestre 1892-1893, rédigées par M. Ch. Maurain. C P A.

Paris, G. C., 1894, gr. in-8, 343 p.

Analyse par A. Gray: N., v. 51, Feb. 14, 1895, p.361-362.

Analyse par C. Brodmann: F P, 50 J., Abt. 2, 1894, S. 400-403.

Analyse par H. Abraham: B S M, 2e s., t. 20, 1re p., janv. 1896, p. 5-11.

8. Électricité et Optique.

[Tome] I: Les Théories de Maxwell et la Théorie électromagnétique de la Lumière.

Leçons professées à la Sorbonne pendant le second semestre 1888-1889, rédigées par J. Blondin. C P A.

[Tome] II: Les Théories de Helmholtz et les Expériences de Hertz.

Leçons professées à la Sorbonne pendant le second semestre 1889-1890, rédigées par Bernard Brunhes. C P A.

Paris, G. C., I, 1890, gr. in-8, xix-314 p.; II, 1891, gr. in-8, xi-262 p.

Traduction en allemand des tomes I et II par W. Jäger et E. Gumlich: Berlin, J. S., 2 Bde, 1891, gr. in-8;—Analysée par Wangerin: J F M, Bd. 23, J. 1891, S. 1108-1110;—Bd. 24, J. 1892, S. 1041-1042.

67

Lettre de Geo Fras. Fitz Gerald, intitulée M. Poincaré and Maxwell: N, v. 45, Apr. 7, 1892, p. 532-533.

Analyse du tome I par J. Bertrand: Journal des Savants, Paris, déc. 1891, in-4, p. 742-748.

Analyse des tomes I et II par Marcel Brillouin: B S M, 2e s., t. 15, 1re p., juin 1891, p. 129-146.

Analyse des tomes I et II, par A. Gray: N, v. 44, July 30, 1891, p. 296-299;—v. 45, Feb. 18, 1892, p. 367-372.

9. Électricité et Optique.

La Lumière et les Théories électrodynamiques.

Leçons professées à la Sorbonne en 1888, 1890 et 1899; 2e éd., revue et complétée par Jules Blondin et Eugène Néculcéa.

Paris, G. C. et C. N., 1901, gr. in-8, xi-641 p.

Analyse par Marcel Brillouin: B S M, 2e s., t. 25, 1re p., août 1901, p. 118-127.

Analyse par J. L.: N, v. 64, July 18, 1901, p. 273-276.

Analyse par A. Buhl: E M, 4e a., 14 juil. 1902, p. 307-310.

Analyse par W. J.: B A P, Bd. 25, no 8, 1901, S. 604-606.

Analyse par Edgar Haudié: R O, t. 13, 30 déc. 1902, p. 1200-1203.

Analyse par Marcel Brillouin: B S M, 2e s., t. 25, 2e p., août 1901, p. 118-127.

10. La Théorie de Maxwell et les Oscillations hertziennes. La Télégraphie sans fil.

Collection Scientia, contenant l'exposé et le développement des questions scientifiques à l'ordre du jour.

Paris, G. C., s. d. (1899), in-8, 80 p.;—2e éd., C N, 1904, in-8, 80 p.;—3e éd., G.-V., nov. 1907, in-8, 97 p.

Traductions:

En anglais par F. K. Vreeland: London, New York, 1904, 1905, in-8;

En allemand par Max Iklé: Leipzig, J. A. B., 1909, in-8.

Analyse par C.-e. Guye: E M, 1re a., 15 mai 1899, p. 228-230.

Analyse par Haentzschel: J F M, Bd. 29, J. 1898, S. 736-737.

11 à 14. Leçons d'électricité mathématique.

Professées à l'École professionnelle supérieure des Postes et des Télégraphes, en mai-juin 1904, 1906, 1908, 1910:

Sur la Propagation du courant en période variable sur une ligne munie de récepteur.

E E, t. 40, 23 juil.-13 août 1904, p. 121-128, 161-167, 201-212, 241-250.

68

Sur le Récepteur téléphonique.

E E, t. 50, 16 fév.-23 mars 1907, p. 221-224, 257-262, 329-338, 365-372, 401-404.

Sur la Télégraphie sans fil.

L E, 2e s., t. 4, 28 nov.-26 déc. 1908, p. 259-266, 291-297, 323-327, 355-359, 387-393.—Conférences sur la Télégraphie sans fil, Paris, Éditions de La Lumière électrique, 1909, in-8, II-86 p.

Sur diverses questions relatives à la Télégraphie sans fil.

Conférences rédigées par M. Giles.

La détermination a priori de la longueur d'onde et de l'amortissement d'un excitateur de forme donnée peut se faire d'une manière complète par la méthode de Fredholm (ou des équations intégrales). M. H. Poincaré indique diverses généralisations de cette méthode et en fait l'application à l'étude de la distribution de l'électricité sur un conducteur. Il s'est attaché à diminuer les difficultés de calcul en introduisant la notion des fonctions dites fondamentales. Il montre comment on peut résoudre par approximation les cas voisins d'un cas particulier dont on connaît la solution.

L E, 2e s., t. 13, 7, 14, 21, 28 janv. 1911, p. 7-12, 35-40, 67-72, 99-104.

MÉMOIRES. NOTES.

Équations de la Physique mathématique.

1. Sur les équations aux dérivées partielles de la Physique mathématique.

A J M, v. 12, 1890, 19 mars 1889, p. 211-294; avec un portrait de M. H. Poincaré.

Analyse par Minkowski: J F M, Bd. 22, J. 1890, S. 977-980.

2. Sur les équations de la Physique mathématique.

R C M P, t. 8, mars 1894, p. 57-156.

3. 4. Sur la méthode de Neumann et le problème de Dirichlet.

CR, t. 120, 18 févr. 1895, p. 347-352.

A M, t. 20, 1896-1897, 11 nov. 1895, p. 59-142.

69

Analyse par Hurwitz du Mémoire no 4: J F M, Bd. 27, J. 1896, S. 316-318.

Analyse: B S M, 2e s., 2e p., t. 21, mars 1897, p. 37-38;—t. 25, sept. 1901, p. 188-195.

Analyse par Haentzschel: F P, 51 J., Abt. 2, S. 456-457.

Élasticité.

5. 6. Sur la théorie de l'élasticité.

C R, t. 112, 27 avr. 1891, p. 914-915.

C R, t. 114, 22 fév. 1892, p. 385-389.

7. Sur l'équilibre d'un corps élastique.

C R, t. 122, 27 janv. 1896, p. 154-159.

Analyse par F. Kötter: J F M, Bd. 27, J. 1896, S. 684.

Analyse: B S M, 2e s., t. 21, 2e p., déc. 1897, p. 235-236.

8. Sur l'équation des vibrations d'une membrane.

Pour ce problème, on peut ainsi résumer les résultats obtenus: M. Schwarz a démontré l'existence du son fondamental d'une membrane; M. Émile Picard, celle de la première harmonique; M. H. Poincaré démontre celle des harmoniques supérieures.

C R, t. 118, 26 fév. 1894, p. 447-451.

Analyse par E. Lampe: F P, 50 J., Abt. 1, 1894, S. 450.

Théorie de la propagation de la Chaleur.

9. 10. Sur la théorie analytique de la chaleur.

C R, t. 104, 20 juin 1887, p. 1753-1759.

C R, t. 107, 17 déc. 1888, p. 967-971.

Analyse par F. Neesen de la Note no 9: F P, 43 J., Abt. 2, 1887, S. 421-422.

11. Sur certains développements en séries que l'on rencontre dans la théorie de la propagation de la chaleur.

C R, t. 118, 19 fév. 1894, p. 383-387.

Analyse par Siebert: J F M, Bd. 25, J. 1893 u. 1894, S. 1828.

Analyse: B S M, 2e s., t. 20, 2e p., juin 1896, p. 132-133.

70

Thermodynamique. Théorie des Quanta.

(Voir no 9, p. 77, et no 3, p. 78).

12. Sur les tentatives d'explication mécanique des principes de la Thermodynamique.

C R, t. 108, 18 mars 1889, p. 550-553.
Analyse par Siebert: J F M, Bd. 21, J. 1889, S. 1180.
Analyse par F. Neesen: F P, 45 J., Abt. 2, 1889, S. 193-194.

13. Entropy.

The Electrician, London, v. 50, sec. s., Feb. 13, 1903, in-4, p. 688-689.

14. 15. Sur la théorie des Quanta.

M. Planck a été conduit, par l'étude de la loi du rayonnement des corps noirs, à énoncer une hypothèse connue sous le nom de théorie des quanta. D'après cette théorie, les éléments auxquels serait dû le rayonnement des solides incandescents et qui seraient assimilables à des résonateurs hertziens, ne pourraient acquérir ou perdre de l'énergie que par sauts brusques, de telle façon que l'énergie d'un pareil résonateur serait toujours multiple d'une quantité fixe caractérisant la longueur d'onde de ce résonateur et appelée quantum; cette énergie serait donc toujours égale à un nombre entier de quanta.

Il est inutile de faire remarquer combien cette conception s'éloigne des idées habituellement reçues, puisque les lois physiques ne seraient plus susceptibles d'être exprimées par des équations différentielles. Il est naturel qu'on cherche à échapper à cette conséquence, sans parler d'une foule de difficultés de détail, et qu'on se demande s'il n'y aurait pas moyen d'expliquer autrement les faits. J'ai donc cherché si l'on ne pourrait pas rendre compte de la loi de Planck par d'autres hypothèses et je suis arrivé à un résultat négatif. H. P.

Les principaux Écrits relatifs à la théorie des Quanta sont cités par M. Max Planck dans Annalen der Physik: Leipzig, Bd. 31, 1910, in-8, S. 758; et dans Berichte der Deutschen Physikalischen Gesellschaft: Braunschweig, 13 J., Nr. 3, Feb. 1911, in-8, S. 138.

C R, t. 153, 4 déc. 1911, p. 1104-1108.
J P, 5e s., t. 2, janv. 1912, p. 5-34.

71

Théorie cinétique des gaz.

16. Sur une objection à la théorie cinétique des gaz.

C R, t. 116, 8 mai 1893, p. 1017-1021.

Analyse par Siebert: J F M, Bd. 25, J. 1893 u. 1894, S. 1818.

Analyse par E. Jahnke: F P, 49 J., Abt. 2, 1893, S. 242.

17. Sur la théorie cinétique des gaz.

C R, t. 116, 23 mai 1893, p. 1165-1166.

Analyse par E. Jahnke: F P, 49 J., Abt. 2, 1893, S. 243-244.

18. Réflexions sur la théorie cinétique des gaz.

B S F P, 6 juil. 1906, p. 150-184, 67*-68*;—J P, 4e s., t. 5, juin 1906, p. 369-403.

Analyse par E. Lampe: J F M, Bd. 37, J. 1906, S. 944-945.

Analyse par A. Denizot: F P, 62 J., Abt. 2, 1906, S. 533-534.

Optique.

19. Sur un mode anormal de propagation des ondes.

La théorie conduit à une solution particulière des équations du mouvement ondulatoire; cette solution présente un certain nombre de particularités remarquables sur lesquelles M. H. Poincaré désire attirer l'attention.

C R, t. 114, 4 janv. 1892, p. 16-18.

Analyse par Wangerin: F P, 48 J., Abt. 2, 1892, S. 27-28;—J F M, Bd. 24, J. 1892, S. 982.

Analyse: B S M, 2e s., t. 18, 2e p., mars 1894, p. 71-72.

20. Sur l'expérience de M. Wiener.

Je reconnais très volontiers que les résultats de M. Wiener, joints à ceux de M. Carvallo et aux phénomènes de l'aberration, constituent, en faveur de la théorie de Fresnel, un faisceau de preuves qui lui donnent un très haut degré de probabilité; mais aucune de ces preuves, pas même celle de M. Wiener, ne nous donne à cet égard la certitude absolue. H. P.

C R, t. 112, 9 fév. 1891, p. 325-329.

Analyse par Wangerin des Notes nos 20, 21: J F M, Bd. 23, J. 1891, S. 1071-1074.

Analyse par E. Gumlich des Notes nos 20, 21: F P, 47 J., Abt. 2, 1891, S. 116-120.

72

21. Sur la réflexion métallique.

Je crois devoir expliquer en quelques mots pour quelles raisons, malgré les Notes récentes de M. Cornu et de M. Potier, je persiste dans mon scepticisme sur le caractère décisif de la remarquable expérience de M. Wiener. H. P.

C R, t. 112, 2 mars 1891, p 456-459.

22. Sur le spectre cannelé.

C R, t. 120, 8 avr. 1895, p. 757-762.

Analyse par E. Gumlich: F P, 51 J., Abt. 2, 1895, S. 109-110.

Analyse par Wangerin: J F M, Bd. 26, J. 1895, S. 953-955.

23. 24. Sur la polarisation par diffraction.

A M, t. 16, 1892-1893, I, 20 juil. 1892, p. 297-339.

A M, t. 20, 1896-1897, II, 4 fév. 1897, p. 313-355.

Analyse par Wangerin: J F M, Bd. 24, J. 1892, S. 999-1002;—Bd. 28, J. 1897, S. 746-749.

Analyse: B S M, 2e s., 2e p., t. 20, fév. 1896, p. 15-18;—t. 25, sept. 1901, p. 205-208.

Théorie de l'Électricité.

25. Sur le problème de la distribution électrique.

C R, t. 104, 3 janv. 1887 p. 44-46.

26. Sur l'équilibre des diélectriques fluides dans un champ électrique.

C R, t. 112, 16 mars 1891, p. 555-557.

Analyse par Haentzschel: J F M, Bd. 23, J. 1891, S. 1130-1131.

27. Sur la loi électrodynamique de Weber.

C R, t. 110, 21 avr. 1890, p. 825-829.

Analyse par Lorberg: J F M, Bd. 22, J. 1890, S. 1084-1087.

Analyse: B S M, 2e s., t. 16, 2e p., mai 1892, p. 75-76.

28. A propos de la théorie de M. Larmor,

Intitulée A Dynamical Theory of the Electric and Luminiferous Medium9.

E E, t. 3, 6 avr., 18 mai 1895, p. 5-13, 289-295;—t. 5, 5 oct., 30 nov. 1895, p. 5-14, 385-392.

Reproduction de cette Theory dans l'Ouvrage intitulé Électricité et Optique, par M. H. Poincaré; 2e éd., 1901, p. 577-632,—Analyse de cette Theory par J. Blondin: L E H, t. 52, 26 mai 1894, p. 351-360.

Analyse par C. Brodmann: F P, 51 J., Abt. 2, 1895, S. 471-472.

73

29. L'énergie magnétique d'après Maxwell et d'après Hertz.

E E, t. 18, 11 mars 1899, p. 361-367.

Théorie de LORENTZ.

30. La théorie de Lorentz et les expériences de Zeeman.

M. Zeeman a reconnu, par de délicates expériences, que la nature des radiations émises par une flamme se trouve modifiée par un champ magnétique.

E E, t. 11, 5 juin 1897, p. 481-489.

Analyse par C. Brodmann: F P, 53 J., Abt. 2, 1897, S. 386-387.

Analyse par S. H. Burbury: A P P, v. 3, 1897, p. 287-290.

31. Le phénomène de Hall et la théorie de Lorentz.

C R, t. 128, 6 fév. 1899, p. 339-341.

32. La théorie de Lorentz et le phénomène de Zeeman.

E E, t. 19, 8 avr. 1899, p. 5-15.

33. La théorie de Lorentz et le principe de réaction.

Ce Mémoire fait partie du Recueil de Travaux offerts par les Auteurs à M. H. A. Lorentz, à l'occasion du vingt-cinquième anniversaire de son doctorat, le 11 décembre 1900: La Haye, 1900, gr. in-8, ix-679 p.

A N S E N, s. 2, t. 5, 1900, p. 252-278.

Analyse par E. Lampe: J F M, Bd. 31, J., 1900, S. 832.

34. 35. Sur la dynamique de l'électron.

C R, t. 140, 5 juin 1905, p. 1504-1508.

R C M P, t. 21, 23 juil. 1905, p. 129-176.

Analyses de la Note no 34 par Grimm: J F M, Bd. 36, J. 1905, S. 911-912;—par K. Grimm: F P, 61 J., Abt. 2, 1905, S. 13-14.

Électrotechnique.

36. Sur l'induction unipolaire.

E E, t. 23, 14 avr. 1900, p. 41-53.

Analyse par Ohlshausen: F P, 56 J., Abt. 3, 1900, S. 718-719.

74

37. Sur les propriétés des anneaux à collecteurs.

Il s'agit d'un moteur à courants alternatifs imaginé par M. Marius Latour.

E E, t. 30, 18 janv., 1er mars 1902, p. 77-81, 301-310.

38. Sur quelques théorèmes généraux relatifs à l'électrotechnique.

E E, t. 50, 2 mars 1907, p. 293-301.

39. Sur la théorie de la commutation.

L E, 2e s., t. 2, 6 juin 1908, p. 295-297.

Rayons cathodiques.

40. Remarque sur un Mémoire de M. G. Jaumann,

Intitulé Longitudinales Licht10.

C R, t. 121, 2 déc. 1895, p. 792-793.

Analyse par Wangerin: J F M, Bd. 26, J. 1895, S. 960-963.

Analyse: B S M, 2e s., t. 21, 2e p., nov. 1897, p. 227-228.

41 à 43. Observations sur les Communications suivantes de M. G. Jaumann:

Réponse à la Remarque de M. H. Poincaré sur la théorie des rayons cathodiques;—Réponse aux Observations de M. H. Poincaré sur la théorie des rayons cathodiques;—Déviation électrostatique des rayons cathodiques. Réponse à M. H. Poincaré.

C R, t. 122, 13 janv. 1896, p. 76.

C R, t. 122, 2 mars 1896, p. 520.

C R, t. 122, 4 mai 1896, p. 990.

Analyse par Oberl. Riens: J F F, Bd. 27, J. 1896, S. 741-742.

Analyse par D. E. Jones: A P P, v. 2, 1896, p. 84.

44. Remarques sur une expérience de M. Birkeland.

Au sujet d'une Note intitulée Sur un spectre des rayons cathodiques.

C R, t. 123, 5 oct. 1896, p. 530-533.

Analyse par S. H. B.: A P P, v. 2, 1896, p. 421-422.

75

45. Les rayons cathodiques et la théorie de G. Jaumann.

E E, t. 9, 7 et 14 nov. 1896, p. 241-251, 289-293.

Analyse par A. Daniell: A P P, v. 3, 1897, p. 47-49.

Oscillations hertziennes.

46. Sur la théorie des oscillations hertziennes.

C R, t. 113, 26 oct. 1891, p. 515-519.

Analyse par O. Venske: F P, 47 J., Abt. 2, 1891, S. 415-416.

Analyse par Haentzschel: J F M, Bd. 23, J. 1891, S. 1149-1151.

Analyse: B S M, 2e s., t. 17, 2e p., juin 1893, p. 81-83.

47. Sur la propagation des oscillations électriques.

C R, t. 114, 30 mai 1892, p.1229-1233.

Analyse par L. Graetz: F P, 48 J., Abt. 2, 1892, S. 410-411.

Analyse par Haentzschel: J F M, Bd. 24, J. 1892, S. 1077.

Analyse: B S M, 2e s., t. 18, 2e p., mai 1894, p. 89-90.

48. Sur la propagation de l'électricité.

C R, t. 117, 26 déc. 1893, p. 1027-1032.

Analyse par Haentzschel: F P, 49 J., Abt. 2, 1893, S. 417-419.—J F M, Bd. 25, J. 1893 u. 1894, S. 1695-1697.

Analyse: B S M, 2e s., t. 19, 2e p., oct. 1895, p. 219-220.

49. Sur la Diffraction des Ondes Électriques.

A propos d'un Article de M. Macdonald, intitulé The Bending of Electric Waves round Conducting Obstacle11.

P R S, v. 72, 1904, May 4, 1903, p. 42-52.

50. Contribution à la théorie des expériences de M. Hertz.

C R, t. 111, 18 août 1890, p. 322-326.

Extrait par L. de La Rive: A S P N, 3e pér., t. 24, 1890, p. 285-290.

Analyse par Lorberg: J F M, Bd. 22, J. 1890, S. 1089-1091.

Analyse: B S M, 2e s., t. 16, 2e p., août 1892, p. 121.

51. Sur le calcul de la période des excitateurs hertziens.

A S P N, 3e pér., t. 25, 1891, 26 nov. 1890, p. 5-25.

Analyse par O. Venske: F P, 47 J., Abt. 2, 1891, S. 414-415.

Analyse par Haentzschel: J F M, Bd. 23, J. 1891, S. 1149-1151.

76

52. Sur la résonance multiple des oscillations hertziennes.

A S P N, 3e pér., t. 25, 7 mai 1891, p. 609-627.

Analyse par O. Venske: F P, 47 J., Abt. 2, 1891, S. 416-418.

Analyse par Haentzschel: J F M, Bd. 23, J. 1891, S. 1149.

53. Sur la propagation des oscillations hertziennes.

C R, t. 114, 9 mai 1892, p. 1046-1048.

Analyse par L. Graetz: F P, 48 J., Abt. 2, 1892, S. 409-410.

Analyse par Haentzschel: J F M, Bd. 24, J. 1892, S. 1077.

Analyse: B S M, 2e s., t. 18, 2e p., avr. 1894, p. 86-87.

54. Sur les excitateurs et résonateurs hertziens.

A propos d'un Article de M. Johnson, intitulé Sur l'excitateur de Hertz et son application à la télégraphie sans fil.

E E, t. 29, 30 nov. 1901, p. 305-307.

55. 56. Les ondes hertziennes et l'équation de Fredholm.

C R, t. 148, 22 fév. 1909, p. 449-453.

C R, t. 148, 7 juin 1909, p. 1488-1490.

Analyse par C. Grimm de la Note n^° 55: F P, 65 J., Abt. 2, 1909, S. 227.

57. Anwendung der Integralgleichungen auf Hertz'sche Wellen.

S V, 24 avr. 1909, S. 21-31.

58 à 64. Sur la diffraction des ondes hertziennes.

C R, t. 148, 29 mars 1901, p. 812-817.

C R, t. 148, 13 avr. 1909, p. 966-968.

C R, t. 148, 7 juin 1909, p. 1488-1490.

C R, t. 149, 18 oct. 1909, p. 621-622.—L E, 2e s., t. 8, 13 nov. 1909, p. 212.

R C M P, t. 29, 1910, 1e sem., 14 Nov. 1909, p. 169-259.

L E, 2e s., t. 10, 18-25 juin 1910, p. 355-362, 387-394;—t. 11, 2 juil. 1910, p. 7-12.—Traduction en allemand par G. Eichhorn: Jahrbuch der drahtlosen Telegraphie und Telephonie, Zurich, 3, 1910, in-8, S. 445-487.

C R, t. 154, 25 mars 1912, p. 795-797.

Analyse par C. Grimm de la Note n^° 59: F P, 65 J., Abt. 2, 1909, S. 227-228.

77

ARTICLES.

1. La lumière et l'électricité d'après Maxwell et Hertz.

A B L, 1894, p. A1-A22.—R R, 4e s., t. 1, 27 janv. 1894, p. 106-111.
Traduction en anglais: N, v. 50, May 3, 1894, p. 8-11.—A R S I, 1896,
p. 129-139.

Analyse par C. Brodmann: F P, 50 J., Abt. 2, 1894, S. 431-432.

2. Sur la théorie cinétique des gaz.

R O, t. t. 5, 30 juil. 1894, p. 513-521.

3. 4. Les rayons cathodiques et les rayons Röntgen.

R O, t. 7, 30 janv. 1896, p. 52-59.

A B L, 1897, 1er oct. 1896, p. D1-D35.—R R, 4e s., t. 7, 16 janv. 1897, p. 72-81.

5. A propos des expériences de M. Crémieu.

R O, t. 12, 30 nov. 1901, p. 994-1007.

6. Sur les expériences de M. Crémieu et une objection de M. Wilson.

Article de M. A. Potier contenant des Lettres de M. H. Poincaré.

E E, t. 31, 19 avr. 1902, p. 83-93.

7. Sur la télégraphie sans fil.

A B L, 1902, p. A1-A34.—R R, 4e s., t. 17, 18 janv. 1902. p. 65-73. Traduction en allemand par W. Jaeger: D M Z, J. 1902, S. 63, 73, 114, 144, 237.

8. Sur la dynamique de l'électron.

R O, t. 19, 30 mai 1908, p. 386-402.

9. L'hypothèse des Quanta.

Introduction. Thermodynamique et Probabilité. La Loi du Rayonnement. Les Quanta d'Énergie. Discussion de l'Hypothèse précédente.

78

Les Quanta d'Action. La nouvelle Théorie de Planck. Les Idées de M. Sommerfeld. Conclusions.

Voir nos 14 et 15, p. 70, et no 4, p. 78.

R R, 50e a., 1er sem., 24 fév. 1912, p. 225-232.

CONFÉRENCES.

1. La télégraphie sans fil.

Conférence faite à l'Université des Annales, à Paris, le 1^{er} mars 1909.

Journal de l'Université des Annales, dirigé par Yvonne Sarcey, Paris, t. 1, 25 avr. 1909, gr. in-8, p. 541-552.

2. Ueber einige Gleichungen in der Theorie der Hertz'schen Wellen.

Vorträg gehalten am 13 Oktober 1910 im mathematische Verein an der Universität Berlin.

Mathematisch-Naturwissenschaftliche Blätter, Berlin, J. 8, No 4, in-4, 4 S.

3. Les rapports de la matière et de l'éther.

Conférence faite le 11 avril 1912 aux Séances de Pâques de la Société française de Physique, à Paris.

J P, 5e s., t. 2, mai 1912, p. 347.

4. La théorie du rayonnement.

Conférence sur la théorie des Quanta faite le 11 mai 1912 à l'Université de Londres.


Voir nos 14 et 15, p. 70, et no 9, p. 77.


79

SECTION V.

PHILOSOPHIE SCIENTIFIQUE.

Analyse par M. ÉMILE FAGUET
de l'Ouvrage intitulé Science et Méthode.

M. Henri Poincaré vient de compléter ses deux admirables Volumes: la Science et l'Hypothèse et la Valeur de la Science, par un troisième qu'il intitule Science et Méthode et qui ne le cède en rien à ses illustres devanciers.

Dans ce dernier Volume, M. Poincaré s'attache surtout aux questions de méthode et il commence par la plus considérable des questions de méthode, par la plus terrible pour ainsi parler: le choix des faits.

Le savant, en effet, qu'il soit physicien ou qu'il soit historien, n'a qu'à observer et expérimenter. Or, s'il avait à sa disposition un temps infini, on n'aurait d'autre recommandation à lui faire que celle-ci: regardez avec attention; mais, comme il n'a le temps ni de tout regarder, ni de tout voir, il faut qu'il fasse un choix entre les faits qui passent sous son regard. Quelle sera la méthode de ce choix? Quels seront les faits que le savant devra juger intéressants et, à cause de cela, retenir?

«Les faits les plus intéressants sont ceux qui peuvent servir plusieurs fois, ce sont ceux qui ont chance de se renouveler.» Et quels sont les faits qui ont chance de se renouveler? Ce sont les faits simples (ou qui nous paraissent simples, après, du reste, avoir été très mûrement examinés). Le fait simple est un fait qui recommence et qui doit indéfiniment recommencer et, par conséquent, il est une loi, une loi n'étant que la répétition constante d'un même fait. Les faits qui sont révélateurs d'une loi parce qu'ils sont simples, voilà l'objet propre du savant.

On peut les appeler des «faits à grand rendement» par opposition aux faits complexes qui sont «à petit rendement». Ces derniers sont ceux «sur lesquels des circonstances multiples peuvent exercer une influence sensible, circonstances trop nombreuses et trop diverses pour que nous80 puissions toutes les discerner». Les faits à grand rendement, au contraire, sont des faits simples qu'on voit se renouveler avec régularité et avec une sorte de précision toute scientifique. Voilà ceux qui sont précisément du gibier de savant, comme aurait dit Montaigne.

Ce qu'il y a de très curieux (et ce que M. Poincaré, qui est un poète à sa manière, comme il nous l'a assez montré par ses pages sur l'esthétique des mathématiques et sur la volupté des mathématiques, s'est complu à nous démontrer avec insistance), ce qu'il y a de très curieux, c'est que les faits les plus simples sont en même temps les plus beaux. Ils séduisent le penseur par leur beauté, comme ils l'attirent par leur simplicité et comme, par leur beauté, ils le retiennent. Le savant n'étudie point du tout la nature parce qu'elle est utile ou parce qu'il est utile de l'étudier. Il l'étudie parce qu'il l'aime et l'aime parce qu'elle est belle. «Si la nature n'était pas belle, va jusqu'à dire M. Poincaré, elle ne vaudrait pas la peine d'être connue, la vie ne vaudrait pas la peine d'être vécue.» Je ne vais point jusque-là et je crois que M. Poincaré s'emporte, et j'estime que la nature, ne fût-elle pas belle, vaudrait encore la peine d'être connue pour être domptée et mise à notre service; et que la vie, ne fût-elle pas belle, vaudrait encore la peine d'être vécue, parce que nous la trouverions encore meilleure que son contraire; mais enfin il est très vrai que le savant étudie la nature parce qu'il l'aime pour sa beauté, avec, je crois, une petite arrière-pensée que son attention amoureuse est en même temps une application utile. Ainsi l'amoureux aime une personne pour sa beauté, avec une conscience obscure des beaux résultats vivants que son union avec cette personne peut avoir.

Ce qu'il y a de curieux encore, c'est que si le savant raisonne ainsi, ou plutôt sent ainsi; s'il poursuit le beau sans préoccupation de l'utile, mais avec quelque sentiment vague que l'utile et le beau doivent aller ensemble; il a parfaitement raison. Le souci du beau nous conduit aux mêmes choix des faits que celui de l'utile. Peut-être—et ici encore le poète intime que contient M. Poincaré va se donner carrière, ce qui n'est aucunement pour nous déplaire—peut-être en cherchant le beau obéit-on à une suggestion du génie de l'espèce cherchant l'utile. Peut-être les «peuples dont l'idéal était le plus conforme à leur intérêt bien entendu ont-ils exterminé les autres et pris leur place. Les uns et les autres poursuivaient leur idéal, sans se rendre compte des conséquences; mais tandis que cette recherche menait les uns à leur perte, aux autres elle donnait l'empire». «Si les Grecs ont triomphé des barbares et si l'Europe, héritière de la pensée des Grecs, domine le monde, c'est parce que les sauvages aimaient les couleurs criardes et les sons bruyants du tambour qui n'occupaient que leur sens, tandis que les Grecs aimaient la beauté intellectuelle qui se cache sous la beauté sensible et que c'est celle-là qui fait l'intelligence sûre et forte.»

81Quoi qu'il en soit, les signes du choix à faire entre les faits, c'est la simplicité de certains faits qui est une promesse de leur renouvellement et de leur régularité; et c'est la beauté de certains faits, beauté qui, du reste, ne se trouve jamais que dans les faits simples.

Il en va ainsi de même en mathématiques—M. Poincaré dirait, j'en suis sûr, surtout en mathématiques—et les «êtres mathématiques» les plus «beaux», ou les plus «élégants» sont ceux dont les éléments sont harmonieusement disposés de façon que l'esprit puisse sans effort en embrasser l'ensemble tout en pénétrant le détail, autrement dit, ce sont les faits simples.

On n'erre donc point ou l'on a des chances de ne pas errer, en se fiant, pour le choix des faits, soit à leur simplicité, soit à leur beauté. Les uns et les autres, qui en définitive se trouveront être les mêmes, sont des faits à grands rendements.

C'est là ce qui justifie contre M. Tolstoï et autres moralistes utilitaires la science désintéressée, la science pure, la science platonique pour ainsi parler, qui ne se préoccupe aucunement des applications qu'on pourra ou qu'on ne pourra pas faire d'elle. C'est par superbe qu'ils agissent ainsi, croit-on, comme le philosophe qui dit: «Le vrai est ce qu'il peut, il n'a pas à se préoccuper de savoir s'il est bienfaisant, salutaire ou moral». Ce n'est pas par superbe, c'est par vocation, comme le peintre peint. Seulement il se trouve que ce que le savant découvre uniquement pour s'amuser entre toujours, à un moment donné, dans le domaine de l'utile. Si les navigateurs peuvent se diriger et savoir où ils sont, c'est grâce à la théorie des sections coniques qui fut inventée au moins quatre cents ans avant Jésus-Christ, qui longtemps ne servit à rien du tout et qui, au bout d'une vingtaine de siècles, a trouvé son application pratique. Ce sont les sections coniques qui ont découvert l'Amérique. Si les savants du XVIIIe siècle avaient délaissé l'électricité, comme n'étant, ce qu'elle n'était alors, qu'un objet de curiosité, nous n'aurions au XXe siècle ni télégraphie, ni électro-chimie, ni électro-technique.—«Les conquêtes de l'industrie qui ont enrichi tant d'hommes pratiques n'auraient jamais vu le jour si ces hommes pratiques avaient seuls existé, et s'ils n'avaient été devancés par des fous désintéressés qui sont morts pauvres, qui ne pensaient jamais à l'utile et qui pourtant avaient un autre guide que leur caprice.» La recherche du beau est une recherche inconsciente de l'utile. L'utile c'est du beau transformé par une application aux besoins de l'homme qui s'est trouvée réalisable. Cherchez le beau, l'utile vous sera donné par surcroît; ou plutôt: cherchez le beau, il vous donnera par surcroît l'utile.

Au fond, ce que les savants désintéressés donnent à l'humanité c'est une économie dans le travail de penser. Ils économisent la peine de penser à leurs descendants. Le sauvage calcule sur les doigts ou avec de petits82 cailloux. Un savant, qui est peut-être Pythagore, invente la table de multiplication, il dispense de petits cailloux et d'immenses lenteurs et d'immenses efforts tous les humains qui connaîtront sa table. Immensurable économie.

Le philosophe viennois Mach a bien dit cela: «Le rôle de la Science est de produire l'économie de pensée, de même que la machine produit l'économie d'effort».

Les considérations sur le choix des faits sont la partie la plus brillante du dernier Livre de M. Poincaré; mais il a touché bien d'autres points intéressants: les «lois du hasard», par exemple, et la relativité de l'espace et l'art des définitions sur quoi il écrit un chapitre digne des dialogues socratiques et un peu, je crois, inspiré d'eux, et où il montre que la vraie définition n'est pas la définition exacte, mais la définition que comprend celui à qui l'on parle; et qu'il faut commencer par celle-ci en se réservant d'en donner plus tard une autre plus précise, puis une autre plus serrée encore; et ceci est très analogue à la maieutique, avec cette différence, peu importante du reste, que dans la maieutique le maître fait trouver la vérité par l'élève lui-même par une suite d'approximations, tandis qu'ici c'est le maître lui-même qui découvre la vérité par une suite d'approximations, en se mettant toujours à la portée de l'élève, et somme toute et en définitive, c'est de la maieutique véritable.

Sur les lois du hasard, c'est-à-dire sur le calcul des probabilités, M. Poincaré nous dit encore des choses extrêmement neuves, du moins par le biais selon lequel il les présente: il rectifie quelques-unes, précisément, de ces définitions provisoires dont nous parlions tout à l'heure et qu'il ne faut garder que provisoirement. Ainsi, il ne faut pas tout à fait dire, quoiqu'il y ait du vrai et quoi que ce soit très joli, que «le hasard est la mesure de notre ignorance» et que les «phénomènes fortuits sont ceux dont nous ignorons les lois», ce qui n'est pas tout à fait exact, puisque les hommes, avant la découverte des lois astronomiques, étaient parfaitement persuadés que les astres ne se mouvaient pas au hasard. Le hasard signifie; que nous disions «hasard» cela signifie; qu'il y ait, du reste, réellement, un hasard, cela signifie: que de petites causes peuvent produire de grands effets;—et cela signifie encore qu'il y a des faits qui sont les effets de causes complexes, que nous ne pouvons pas démêler, au lieu de l'être de causes simples facilement discernables.

En histoire par exemple la naissance d'un grand homme est un hasard, c'est-à-dire une petite cause, ou plutôt une cause énorme, mais qui paraît petite, comme la naissance de n'importe qui, et qu'on ne pourra juger énorme que quand on en aura vu les effets. De même, un petit fait et c'est-à-dire un fait inaperçu au XIXe siècle, sortissant ses effets et des effets 83considérables au XXe, ces effets paraîtront provenir du hasard; ils ne seront que les conséquences grandes d'une cause qui avait paru petite, jusque-là même qu'elle n'avait pas paru du tout. Or, ce sont ces effets de causes inaperçues ou de causes complexes qu'il s'agit de prévoir approximativement par les probabilités, le hasard lui-même ayant ses lois, puisqu'il n'est pas le hasard, mais ses lois qui restent relativement incertaines puisqu'il reste obscur.

Il y a encore dans le Livre de M. Poincaré des considérations bien curieuses sur la voie lactée et sur l'étude de cet univers, éclairée et comme transformée par l'application inattendue que l'on fait à elle de la théorie des gaz.

Il y a des observations piquantes par elles-mêmes, piquantes encore par le caractère auto-biographique qu'elles ont, sur l'invention inconsciente, c'est-à-dire sur ce fait, mille fois répété, qu'un problème cherché, petit ou grand; qu'une théorie cherchée, grande ou petite, se révèle brusquement, alors qu'on ne les cherchait plus, et probablement parce qu'on ne les cherchait plus et alors qu'on ne songeait, depuis quelque temps, qu'à se reposer ou à se distraire, ce qui nous prouve, constatation dont il est à craindre que les paresseux n'abusent, que le repos est la condition du travail.

Il y a bien d'autres choses encore, mais il faut se borner, car qui ne sut se borner ne sut jamais lire. Comme les précédents, ce volume de M. Poincaré est très profond et je ne crains pas d'écrire le mot, très amusant. Il est surtout très intelligent. Il m'est arrivé de dire que, de par la multiplicité croissante des connaissances humaines que personne ne pourra plus embrasser toutes, on ne pourra plus être intelligent. Cela arrivera; n'en faites aucun doute; mais cela n'est pas encore arrivé. Pour sa facilité à tenir sous son regard tous les résultats au moins et toutes les méthodes de toutes les sciences humaines, M. Henri Poincaré montre qu'être intelligent est encore possible. A la vérité, il a bien fait de venir. Demain ou après-demain un Henri Poincaré ne pourra pas naître.—Encore je n'en sais rien et j'espère me tromper. Cela rentre dans les lois du hasard.

Paris, le 6 mai 1909.

Revue par l'Auteur:           

Paris, le 16 avril 1912.

84

OUVRAGES.

1. La Science et l'Hypothèse.

B P S, Paris, E. F., s. d. (1902), in-18 jésus, 284 p.; 20^{e} mille, 1912.

Traductions:

En allemand, par F. et L. Lindemann: Leipzig, G. B. T., 1904; 1906, in-8;

En anglais, Préface par J. Larmor: London, Walter Scott, 1905; New York, 1907, in-8;

En anglais, par George Bruce Halsted: New York, 1905, in-8;

En espagnol, par P. m. González Quijano: Madrid, José Ruiz, 1907, in-8;

En hongrois, par Szilárd Béla: Budapest, 1908, in-8;

En japonais, par Tsuruiche Hayashi: Tokyo, 1909;

En suédois, par Melle Anna Sundqvist, Stockholm, Albert Bonnier, 1910, in-8.

Analyses:

Par v. Aster: Z P P, 4. Bd., Juni 1903, p. 368-370;

Par G. Milhaud: R M M, 2e a., nov. 1903, p. 773-791;

Par Alexandre Mikola: M P L, v. 12, déc. 1903, p. 387-395;

Par L. de La Laurencie: R I, 1re a., 15 fév. 1904; p. 118-128; G, 40. J., Okt. 1904, p. 577-584;

Par J. W. A. Young: Science, New York, v. 20, Dec. 16, 1904, in-4, p. 833-837;

Par J. T.: B S M, 2e s., t. 29, 1re p., juil. 1905, p. 185-189;

Par B. Russell: M, v. 14, juil. 1905, p. 412-418;

Par Jaeger: K B, 12 J., Ht. 12, 1905, S. 465-467;

Par Edwin Bilwell Wilson: B A M S, v. 12, 1905-1906, Jan. 1906, p. 187-193;

Par Arthur Schuster: N, v. 73, Feb. 1, 1906, p. 313-315;

Par W. Reinecke: K, 1906, S. 266-269;

Par Émile Faguet: R L, 7e a., 25 janv. 1908, p. 1-14.

2. La Valeur de la Science.

B P S, Paris, E. F., s. d. (1905): in-18 jésus, 278 p.; 16^{e} mille, 1911.

Traductions:

En allemand, par E. Weber: Leipzig, G. B. T., 1906, in-8;

En espagnol, par Emilio González Llana: Madrid, José Ruiz, 1906, in-8;

En anglais, par George Bruce Halsted: New York, 1907, in-8.

Analyses:

Par J. T.: B S M, 2e s., t. 29, 1re p., juil. 1905, p. 185-189;

Par A. v. Braunmühl: B G S, 43 Bd., März-Apr. 1907, S. 249-251;

Par Émile Faguet: R L, 7e a., 25 janv., 1908, p. 1-14;

Par R. M. Wenley: Science, New York, March 6, 1908, in-4, p. 386-389.

85

3. Science et Méthode.

B P S, Paris, E. F., 25 nov. 1908, in-18 jésus, 314 p., 9e mille 1909.

Traductions:

En allemand, par Mme Lindemann: Leipzig, G. B. T., 1909, in-8;

En espagnol, par Eduardo Cazorla: Madrid, José Ruiz, 1909, in-18.

En anglais, par George Bruce Halsted, du Chapitre intitulé Les Logiques nouvelles: M C, v. 22, 1911-1912, Apr. 1912, p. 243-256.

Analyse: R M M, 17e a., Supplément au numéro de mars 1909, p. 3-4.

ARTICLES.

1. Sur les hypothèses fondamentales de la Géométrie.

B S M F, t. 15, 1886-1887, 2 nov. 1887, p. 203-216.

Traduction en russe par D. Sintsoff: B S P M K, s. 2, t. 3, n° 4, 1893. p. 109-121.

Analyse par Schlegel: J F M, Bd. 19, J. 1887, S. 512-513.

Analyse: B S M, 2e s., t. 13, 2e p., déc. 1889, p. 203-204.

2 à 4. Les Géométries non-euclidiennes.

Article: R O, t. 2, 15 déc. 1891, p. 769-774.

Lettre de M. H. Poincaré à M. Mouret: R O, t. 3, 30 janv. 1892, p. 74-75.

Note dans le Traité de Géométrie par E. Rouché et Ch. de Comberousse. IIe partie: Paris, G.-V., 1900, gr. in-8, p. 581-583.

Traduction en anglais par W. J. L.: N., v. 45, Feb. 25, 1892, p. 404-407.

5. L'Espace et la Géométrie.

R M M, 3e a., nov. 1895, p. 631-646.

6. Réponse à quelques critiques.

Relatives aux Articles intitulés Mécanisme et Expérience et L'Espace et la Géométrie.

R M M, 5e a., janv. 1897, p. 59-70.

7. On the Foundations of Geometry12.

M C, v. 9, 1898-1899, Oct. 1898, p. 1-43.

86

8. Des fondements de la Géométrie.

A propos d'un Livre de M. Russell, intitulé An Essay on the Foundations of Geometry13.

R M M, 7e a., mai 1899, p. 251-279.

9. Sur les principes de la Géométrie. Réponse à M. Russell.

R M M, 8e a., janv. 1900, p. 73-86.

10. Fondements de la Géométrie.

Analyse du Mémoire de David Hilbert, intitulé Grundlagen der Geometrie14.

Journal des Savants, Paris, mai 1902, in-4, p. 252-271.—B S M, 2e s., t. 26, 1re p., sept. 1902, p. 249-272;—t. 27, 1re p., avr. 1903, p. 115.

Traduction en anglais par E. V. Huntington: B A M S, v. 10, 1903-1904, Oct. 1903, p. 1-23.

11. L'espace et ses trois dimensions.

R M M, 11e a, mai, juil. 1903, p. 281-301, 407-429.

12. Le continu mathématique.

R M M, 1^{re} a., janv. 1893, p. 26-34.

13. 14. Mécanisme et Expérience.

Article: R M M, 1^{re} a., nov. 1893, p. 534-537.

Réponse de M. H. Poincaré à M. Lechalas (no 6, p. 85): R M M, 2e a., mars 1894, p. 197-198.

15. Sur la nature du raisonnement mathématique.

R M M, 2e a., juil. 1894, p. 371-384.

Traduction en russe par S. Choubine; B S P M K, s. 2, t. 8, no 3, 1898, p. 74-88.

16. La mesure du temps.

R M M, 6e a., janv. 1898, p. 1-13.

17. Réflexions sur le calcul des probabilités.

R O, t. 10, 15 avr. 1899, p. 262-269.

87

18. Sur la valeur objective de la Science.

R M M, 10e a., mai 1902, p. 263-293.

19. La Terre tourne-t-elle?

Je commence à être un peu agacé de tout le bruit qu'une partie de la presse fait autour de quelques phrases tirées d'un de mes ouvrages15. et des opinions ridicules qu'elle me prête. H. P.

B S A F, 18e a., mai 1904, p. 216-217.

20. Cournot et les principes du calcul infinitésimal.

R M M, 13e a., 1905, p. 293-306.

21. 22. Les Mathématiques et la Logique.

R M M, 13e a., nov. 1905, p. 815-835.

R M M, 14e a., janv. 1906, p. 17-34; 14e a., mai 1906, p. 294-317.

23. Lettre de M. H. Poincaré à M. G. F. Stout. Au sujet d'un Article publié

M, v. 15, janv. 1906, p. 141-143.

24. La fin de la matière.

The Athenæum, London, Feb. 17, 1906, in-4, p. 201-202. Cet Article est, depuis 1907, dans l'Ouvrage intitulé La Science et l'Hypothèse.

25. A propos de la Logistique.

R M M, 14e a., nov. 1906, p. 866-868.

26. Le choix des faits.

Préface de l'édition américaine de l'Ouvrage de M. H. Poincaré intitulé La Valeur de la Science, traduit en anglais par George Bruce Halsted.

M C, t. 19, 1908-1909, Apr. 1909, p. 231-239. Cet Article est dans l'Ouvrage intitulé Science et Méthode.

27. Le hasard.

R M, t. 3, 10 mars 1907, p. 257-276.

28. La relativité de l'espace.

L'Année Psychologique, Paris, t. 13, 1907, gr. in-8, p. 1-17.

88

29. Comment se fait la Science.

Le Matin, Paris, 25e a., 25 nov. 1908, in-fol., p. 1.

30. Comment on invente. Le travail de l'inconscient.

Le Matin, Paris, 25e a., 24 déc. 1908, in-fol., p. 1.

31. La logique de l'infini.

R M M, 17e a., juil. 1909, p.461-482.

Analyse par E. B.: R M, 4e a., t. 8, 1909, p. 504.

Analyse par H. Fehr et E. Lampe: J F M, Bd. 40, Ht. 1, S. 97-98.

DISCOURS.

1. La Géodésie française.

Discours lu dans la Séance publique annuelle des Cinq Académies, le jeudi 25 octobre 1900, par M. H. Poincaré, en qualité de Délégué de l'Académie des Sciences.

Institut, 1900.-20, F.-D., p. 13-25.—B S A F, 14e a., déc. 1900, p. 513-521.

2. Grandeur de l'Astronomie.

Discours lu à l'Assemblée générale annuelle de la Société astronomique de France, le 6 mai 1903, par M. H. Poincaré, en qualité de Président.

B S A F, 17e a., mai 1903, p. 253-259.

3. Au 19e Banquet de l'Association générale des Étudiants de Paris.

Allocution prononcée le 11 mai 1903 par M. H. Poincaré, en qualité de Président, sur la vérité scientifique et sur la vérité morale.

U P, 18e a., 1er juin 1903, p. 59-64.

4. Discours prononcé par M. Henri Poincaré à l'Académie française, en y venant prendre séance le 28 janvier 1909.

Sur la Vie et l'Œuvre poétique et philosophique de Sully Prudhomme.

Institut, 1909.-3, F.-D., p. 3-37.

89

CONFÉRENCES.

1. Du rôle de l'intuition et de la logique en Mathématiques.

Conférence faite le 11 août 1900 au Congrès international des Mathématiciens, tenu à Paris du 6 au 12 août 1900.

C R C M P, 1902, p. 115-130.

Analyse par Wallenberg: J F M, Bd. 32, J. 1901, S. 67-68.

2. L'Avenir des Mathématiques.

M. H. Poincaré étant souffrant, Conférence lue par M. G. Darboux à la Séance générale du 10 avril 1908 du IVe Congrès international des Mathématiciens tenu à Rome du 6 au 11 avril 1908.

A C M R, v. I, 1909, p. 167-182.—B S M, 2e s., t. 32, 1re p., juin 1908, p. 168-190.—R C M P, t. 16, sett.-ott. 1908, p. 152-168.—R O, t. 19, 15 déc. 1908, p. 930-939.—S R S, Anno 2, no 3, 1908, p. 1-23.

3. L'invention mathématique.

Conférence faite à l'Institut général psychologique, à Paris, le 23 mai 1908.

Bulletin de l'Institut général Psychologique, Paris, 8e a., mai-juin 1908, gr. in-8, p. 175-187.—R M, t. 6, 10 juil. 1908, p. 9-21.—R O, t. 19, 15 juil. 1908, p. 521-526.—E M, 10e a., 15 sept. 1908, p.357-371.

4. Sur les principes de la Mécanique.

Lecture faite au Congrès international de Philosophie tenu à Paris du 1er au 5 août 1900.

B C P P, III, 1901, p. 457-494.

Analyse par André Lalande et Discussion: R P, t. 50, nov. 1900, p. 490-491; p. 491-492.

5 à 7. La Mécanique nouvelle.

Conférence faite en français le 28 avril 1909 à l'Université de Göttingue (Fondation Wolfskehl).

S V, 28 avr. 1909, S. 49-58.

Conférence faite le 3 août 1909, par M. Henri Poincaré, à qui la grande Médaille de l'Association Française pour l'Avancement des 90 Sciences avait été décernée le 2 août 1909 dans la Séance d'ouverture du Congrès de Lille.

A F A S, Congrès de Lille, 3 août 1909, Conférences, gr. in-8, p. 38-48.—R R, 47e a., 2e sem. 7 août 1909, p. 170-177.—Éditions de la Revue bleue et de la Revue scientifique, Paris, in-8, 28 p.

Conférence faite en français le 14 octobre 1910 à l'Université de Berlin.

Traductions en allemand: Himmel und Erde, Leipzig, 23 J., 30 Dez. 1910, in-4, S. 97-116.—Henri Poincaré: Die neue Mechanik, Leipzig und Berlin, B. G. T., 1911, in-4, 22 S.

Analyse: N., v. 85, no 2153, Feb. 2, 1911, p. 452.

8. Sur les rapports de l'Analyse pure et de la Physique mathématique.

Conférence faite au Congrès international des Mathématiciens tenu à Zurich du 9 au 11 août 1897.

A M, t. 21. 15 sept. 1897, p. 331-341.—R O, t. 8, 15 nov. 1897, p. 857-861.—V M K Z, 1898, S. 81-90.

Traductions:

En polonais, par S. Dickstein: W M, t. 2, fév. 1898, in-4, p. 10-20;

En anglais, par C. J. Keyser: B A M S, v. 4, 1897-1898, March 1898. p. 247-255.

Analyse par A. Sommerfeld: J F M, Bd. 29, J. 1898, S. 53.

9. Sur les rapports de la Physique expérimentale et de la Physique mathématique.

Conférence faite au Congrès international de Physique tenu à Paris du 6 au 12 août 1900.

R C P P, t. 1, 1900, p. 1-29.—R O, t. 11, 15 nov. 1900, p. 1163-1175,—R R, 4e s., t. 14, 8 déc. 1900, p. 705-715.

Traductions:

En allemand: P Z, 2. J., 1900-1901, S. 166, 182, 196;

En anglais, par George K. Burgess: M C, v. 12, 1901-1902, July 1902, p. 516-543.

10. L'état actuel et l'avenir de la Physique mathématique.

Adresse lue, le 24 septembre 1904, à la Section de Mathématiques appliquées du Congrès international d'Arts et de Science de l'Exposition universelle de Saint-Louis.

La Revue des Idées, Paris, 1re a., 15 nov. 1904, in-8, p. 801-814.—B S M, 2e s., t. 28, 1re p., déc. 1904, p. 302-324.—Extrait intitulé Une image de l'Univers: B S A F, 19e a., janv. 1905, p. 30-31.

91

Traductions:

En anglais, par George Bruce Halsted: C E St L, v. 1, 1905, p. 604-622.—M C, v. 15, 1904-1905, janv. 1905, p. 1-24;

En japonais, par Yoshio Mikami: Tokyobuteu ri gakkozashi, 164, 165, 1905; gr. in-8, p. 1-13, 1-14;

En anglais, par J. W. Young: B A M S, v. 12, 1905-1906, Feb. 1906, p.240-260.

11. La Voie Lactée et la Théorie des gaz.

Conférence faite à la séance du 7 mars 1906 de la Société astronomique de France.

B S A F, 20e a., avr. 1906, p. 153-165.

Traduction en tchèque: Z, 1907, p. 65-70.

12. Réflexions sur les Notes de M. A. S. Schœnflies et de M. E. Zermelo,

Intitulées Ueber eine vermeintliche Antinomie der Mengenlehre et Sur les ensembles finis et le principe de l'induction complète.

A M, t. 32, 1909, 2 fév., p. 195-200.

13. Ueber transfinite Zahlen.

S V, 27 avr. 1909, S. 43-48.

14. Le libre Examen en matière scientifique.

Conférence faite le 21 novembre 1909 par M. H. Poincaré aux Fêtes organisées par l'Université libre de Bruxelles pour le LXXVe Anniversaire de sa Fondation.

Bruxelles, M. Weissenbruch, 1910, in-8 jésus, p. 97-106.

15. 16. Conférences faites à «Foi et Vie».

La Morale et la Science.

Conférence faite le 17 mars 1910.

Les questions discutées ont pour titres: Une morale scientifique est impossible. La morale ne peut s'appuyer que sur elle-même. L'action de la science. Les bienfaits de sa méthode. Comment la science transformera nos âmes. La science créera des sentiments nouveaux. Les dangers d'une science incomplète. Les risques de la morale déterministe. Conclusion.

Foi et Vie, Paris, 13e a., 1er juin 1910, in-4 jésus, p. 323-329.—Questions du temps présent, Paris, 1910, in-8, p. 49-69.—La Revue de Jean Finot, Paris, vol. 86, 1er juin 1910, in-8, p. 289-302.

92

Les Conceptions nouvelles de la matière.

Conférence faite le 7 mars 1912.

Foi et Vie, Paris, 15e a., 1er avr. 1912, in-4 jésus, p.185-191. Analyse: Le Temps, Paris, 52e a., 9 mars 1912, in-fol., p. 4.

17. L'évolution des lois.

Conférence de M. H. Poincaré, lue le 8 avril 1911 par M. Émile Borel, au IVe Congrès international de Philosophie tenu à Bologne du 6 au 11 avril 1911.

S R S, v. 9, 1-iv-1911, p. 275-292.

Analyse: N, v. 86, no 2168, May 18, 1911, p. 399-400.

Analyse par H. Norero: R M M, 19e a., juil. 1911, p. 417, 638, 639-643.

18. La logique de l'infini.

Conférence faite le 3 mai 1912 à l'Université de Londres.

19. L'Espace et le Temps.


Conférence faite le 4 mai 1912 à l'Université de Londres.

93

SECTION VI.

HISTOIRE DES SCIENCES.

OUVRAGES.

1. Notice sur les Travaux scientifiques de M. HENRI POINCARÉ.

Rédigée par lui-même à l'appui de sa candidature comme Membre de l'Académie des Sciences, dans la Section de Géométrie.

Paris, G.-V., in-4; 1884, 51 p.; 2e édit., 14 oct. 1886, 75 p.

2. Savants et Écrivains.

Sully Prudhomme. Gréard. Curie et Brouardel. Laguerre. Hermite. Cornu. Halphen. Tisserand. Bertrand. Berthelot. Faye. Potier. Weierstrass. Lord Kelvin. Lœwy. Les Polytechniciens.

Paris, E. F., 1910, in-18 jésus, XIV-281.

Analyse par Jacques Lux: R B, 48e a., 2e sem., 10 sept. 1910, p. 349-351.

DISCOURS NÉCROLOGIQUES.

1 à 4. Discours prononcés par M. H. Poincaré aux Funérailles de MM.:

F. Tisserand, à Paris, le 23 octobre 1896, au nom du Bureau des Longitudes.

Institut. 1896.-21, F.-D., in-4, p. 19-22.—B A, t. 13, nov. 1896, p. 430-432.—A B L, 1897, p. H.15-H.18.

A. Cornu, à Paris, le 16 avril 1902, au nom de la Société française de Physique.

Institut. 1902.-8, F.-D., in-4, p. 15-18.—B S F P, 1902, p. 186-188.—A B L, 1903, p. D.7-D.11.

94

Paul Gautier, à Paris, le 9 décembre 1909, en qualité de Président du Bureau des Longitudes.

A B L, 1911, p. D.1-D.11.

Rodolphe Radau, à Paris, le 29 décembre 1911, au nom du Conseil de l'Observatoire.

Institut. 1911.-27, G.-V., in-4, p. 13-15.—B A, t. 29, mars 1912, p. 88-89.—A B L, 1913.

ARTICLES ET NOTICES NÉCROLOGIQUES.

1. L'Œuvre mathématique de Weierstrass.

A M, t. 22, 26 fév. 1898, p. 1-18.

Analyse par F. Müller: J F M, Bd. 29, J. 1898, S. 17-18.

2. Sur l'Œuvre de Marcelin Berthelot.

Le Matin, Paris, 24e a., 25 mars 1907, in-fol., p. 1.

3. Lord Kelvin.

L E, 2e s., t. 1, 1^{er} fév. 1908, p. 139-147.

4. Notice sur la Vie et les Travaux de M. Laguerre.

C R, t. 104, 13 juin 1887, p. 1643-1650.—Notices nécrologiques lues à l'Académie des Sciences, G.-V., 1891, gr. in-8, 14 p.—Préface des Œuvres de Laguerre: Paris, G.-V., t. I, 1898, gr. in-8, p. v-xv.

5. Notice sur Halphen.

J E P, 60e c, 1890, p. 137-161.

6 à 8. Sur M. A. Cornu.

Lettre de M. H. Poincaré, Président de la Société française de Physique: B S F P, séance du 18 avril 1902, p. 32*-33*.

A. Cornu.

E E, t. 31, 19 avr. 1902, p. 81-82.

Notice sur la Vie et les Œuvres d'Alfred Cornu.

Alfred Cornu, Rennes, Francis Simon, 1904, in-8, p. 9-21.—J E P, 2e s, 10e c, 1905; p. 143-176.

95

9. A. Potier.

E E, t. 43, 20 mai 1905, p. 281-282.—Préface des Mémoires sur l'Électricité et l'Optique par A. Potier, publiés et annotés par A. Blondel: Paris, G.-V., 1912, gr. in-8, p. v-x.

10. 11. Sur des Membres de l'Académie des Sciences et sur des Membres de la Mission géodésique à l'équateur.

Pendant l'année 1906, M. H. Poincaré, en qualité de Président de l'Académie des Sciences, annonce le décès de MM. Langley, Curie, R. Bischoffsheim.

L'Allocution prononcée par M. H. Poincaré, dans la Séance publique annuelle de l'Académie des Sciences, le lundi 17 décembre 1906, en qualité de Président de l'Académie des Sciences, contient des Notices nécrologiques sur Curie, Bischoffsheim, Brouardel, Boltzmann, Langley, Rayet, Sire, Bienaymé, Auguste Normand, et un Salut adressé à ceux qui, faisant partie de la Mission géodésique organisée par l'Académie, sont morts pour la Science à l'Équateur, notamment au Commandant Massenet, au Sapeur Roussel, au Canonnier Pressé.

C R, t. 142, 1906, 17 avr., 23 avr., 21 mai, p. 924, 939-941, 1119.

C R, t. 143, 17 déc. 1906, p. 989-998.—Institut, 1906.-23, G.-V., in-4, p. 5-16.

12. Sur M. Maurice Lœwy.

A B L, 1908, p. D.1-D.18.

13. Notice nécrologique sur M. Bouquet de La Grye.

A B L, 1911, p. C.1-C.13.

DISCOURS.

1. Sur la Vie et les Travaux de F. Tisserand.

Discours prononcé en ouvrant le Cours de Mécanique céleste à la Sorbonne, le 23 novembre 1896.

R O, t. 7, 30 déc. 1896, p. 1230-1233.

2. Inauguration de la Statue de F. Tisserand.

Discours prononcé à Nuits-Saint-Georges (Côte-d'Or) le 15 octobre 1899. A B L, 1900, p. E.4-E.12.

96

3. Sur la Vie et les Travaux de M. Faye.

Discours lu dans la Séance du 8 octobre 1902 de la Société astronomique de France.

B S A F, 16e a., nov. 1902, p. 496-501.

4. Les progrès de l'Astronomie en 1901.

Discours lu à l'Assemblée générale annuelle de la Société astronomique de France du 9 avril 1902 par M. H. Poincaré, en qualité de Président de la Société.

B S A F, 16e a., mai 1902, p. 214-223.

5. Sur les Travaux de la Société Française de Physique.

Allocution prononcée dans la Séance du 16 janvier 1903 par M. H. Poincaré, en qualité de Président.

B S F P, 1903, p. 5-8.

6. Sur la Part des Polytechniciens dans l'Œuvre scientifique du XIXe siècle.

Allocution prononcée à la 36e Assemblée générale de la Société amicale de secours des anciens élèves de l'École Polytechnique, le 25 janvier 1903, par M. H. Poincaré, en qualité de Président de cette Assemblée.

Compte rendu, Paris, G.-V., 1903, in-8, p. 11-17.

7. A la Réception en Sorbonne des Membres de l'Expédition dans l'Antarctique, commandée par le Dr J. Charcot.

Discours prononcé le 7 décembre 1910 par M. H. Poincaré, au nom du Bureau des Longitudes.

Paris, 7, rue Saint-Benoît, 1910, in-4, p. 4-6.

8. Au Jubilé de M. Charles Hermite.

Adresse lue par M. H. Poincaré à la Sorbonne le 24 décembre 1892.

Jubilé de M. Hermite, Paris, 1893, gr. in-8, p. 6-8.—Revue des Questions scientifiques, Louvain, 2e s., t. 3, 1893, gr. in-8, p. 244-246.

9. Au Cinquantenaire de l'entrée de M. Joseph Bertrand dans l'Enseignement.

Adresse lue par M. H. Poincaré à l'École Polytechnique le 27 mai 1894.

Annuaire de l'École Polytechnique, Paris, 1895, in-8, p. 107-108.—R R, 4e s., t. 1., 2 juin 1894, p. 685-686.

97

10. Au Jubilé de M. Gaston Darboux.

Allocution prononcée par M. H. Poincaré à la Sorbonne le 21 janvier 1912, au nom de la Section de Géométrie de l'Académie des Sciences.

M. H. Poincaré, regrettant de n'avoir à envisager qu'une face, la plus glorieuse à coup sûr, mais la plus austère, de la multiple activité de M. Gaston Darboux, rappelle que ce savant a consacré à la Géométrie le plus de temps, que ses travaux d'Analyse pure montrent le mieux les précieuses qualités de son esprit: l'élégance, la clarté, la recherche de la simplicité.

R I E, vol. 59, 15 fév. 1912, p. 99-102.

RAPPORTS.

1 à 8. Rapports sur divers Concours de Prix décernés par l'Académie des Sciences:

Prix Bordin (Géométrie):

C R, t. 115, 1892, p. 1126-1127;

C R, t. 123, 1896, p. 1109-1111.

Prix Bordin (Géométrie) (En commun avec MM. E. Picard et P. Appell):

C R, t. 119, 1894, p. 1051-1056.

Grand prix des Sciences mathématiques (Géométrie). (En commun avec M. E. Picard):

C R, t. 127, 1898, p. 1061-1065.

Prix Leconte:

C R, t. 139, 1904, p. 1120-1122.

Prix Damoiseau (Astronomie):

C R, t. 141, 1905, p. 1076-1077.

Prix Vaillant (Géométrie):

C R, t. 145, 1907, p. 988-991.

Prix Montyon (Statistique):

C R, t. 147, 1908, p. 1199.

9 à 12. Rapports relatifs à la Fondation Jean Debrousse.

Institut de France. Fondation Jean Debrousse, 1900-1905; Rapports, F.-D.,in-4:

1er avr. 1903, p. 45-67;

23 mars 1904, p. 69-86;

15 mars 1905, p. 87-101.

Institut, 1906.-16, F.-D., 4 avr. 1906, in-4, p. 65-75.

98

13. Rapport sur les Papiers laissés par Halphen.

C R, t. 133, 4 nov. 1901, p. 722-724.

14. 15. Rapports sur les Travaux de M. David Hilbert.

Rapport relatif au IIIe Concours du Prix Lobatschewskij, décerné le 14 février 1904 (v. s.) par la Société physico-mathématique de Kasan.

B S P M K, 2e s., t. 14, 1904, p. 10-48.

Article de George Bruce Halsted: S., v. 20, Sept. 16, 1904, p. 353-367.

Rapport sur le Prix Bolyai, décerné le 18 octobre 1910 par l'Académie de Hongrie, à Budapest.

A M, t. 35, 1911, fév.-avr. 1911, p. 1-28.—B S M, 2e s., t. 35, 1re p., mars 1911, p. 67-100.—R C M P, t. 31, 1o sem. 1911, nov. 1910, p.109-132.

16 à 21. Rapports sur des Mémoires présentés à l'Académie des Sciences et intitulés:

Recherches sur les fractions continues, par M. Stieltjes:

C R, t. 119, 15 oct. 1894, p. 630-632;

Analyse par R. Müller: J F M, Bd. 25, J. 1893 u. 1894, S. 326-329;

Les probabilités continues, par M. Bachelier:

C R, t. 141, 23 oct. 1905, p. 647-648;

Sur les lignes géodésiques des surfaces à courbures opposées, par M. Hadamard:

C R, t. 125, 26 oct. 1897, p. 589-591;

Sur les variations des excentricités et des inclinaisons, par M. Cellerier:

C R, t. 110, 5 mai 1890, p. 942-944;

Sur l'intégration des équations de la chaleur, par M. le Roy:

C R, t. 125, 29 nov. 1897, p. 847-849;

Sur la propagation des oscillations hertziennes, par M. Blondlot:

C R, t. 114, 21 mars 1892, p. 645-648.

99

ARTICLES. PRÉFACES. ANALYSES.

1. Sur la culture scientifique en Hongrie.

Lettre fac-similé de M. H. Poincaré, avec traduction en hongrois, signalant l'influence exercée par Bolyai sur la philosophie de la Géométrie et l'appareil du Baron Eötvös, destiné à nous renseigner sur la figure de la Terre.

Magyar Szó, Budapest, 7e a., no 303, suppl., 25 déc. 1906, in-fol., p. 1-2.

2. Sully Prudhomme mathématicien.

M. H. Poincaré montre l'impossibilité de la publication des papiers mathématiques de Sully Prudhomme, explique ce qu'on doit attendre de l'étude de ces papiers et analyse le Mémoire sur la Géométrie.

R O, t. 20, 15 août 1909, p. 657-662.

Analyse: N., v. 81, Oct. 21, 1909, p. 496.

3. Préface de l'Ouvrage posthume de F. Tisserand,

Intitulé Leçons sur la Détermination des Orbites, rédigées par J. Perchot.

Paris, G.-V., 1899, in-4, p. v-xiv.—B S M, 2e s., t. 23, 1re p., mai 1899, p. 107-117.

4. Préface de l'Ouvrage de George William Hill,

Intitulé Collected Mathematical Works, publié par la «Carnegie Institution of Washington».

Washington, in-4; v. 1, 1905, p. v-xviii.

5. Vue d'ensemble sur les Hypothèses cosmogoniques.

Préface des Leçons sur les Hypothèses cosmogoniques par H. Poincaré (no 5, p. 53).—R M, 6e a., t. 12, 10 oct. 1911, p. 385-403.

6. Analyse d'un Mémoire de M. Zaremba,

Intitulé Sur l'équation Δu + ξu = 0.

100

Cette équation se rencontre dans un grand nombre de questions de Physique mathématique. L'Analyse est terminée par des «détails historiques indispensables pour faire connaître la place exacte du Mémoire de M. Zaremba dans l'histoire du développement de cette partie de la Science».

B S M, 2e s., t. 26, 1re p., déc. 1902, p. 337-350.

7. Compte rendu d'ensemble des Travaux du IVe Congrès des Mathématiciens tenu à Rome en 1908.

Le Temps, Paris, 48e a., 21 avr. 1908, in-fol., p. 2-3.


101

SECTION VII.

PUBLICATIONS DIVERSES.

NOTES. ARTICLES. CONFÉRENCES.

Mathématiques.

1. Sur le théorème de Goldbach relatif aux nombres premiers.

Question proposée en commun avec E. Catalan.

I M, t. 1, juin 1894, p. 91.

2. Sur une propriété d'une fonction algébrique d'un arc.

Réponse à une question proposée par M. H. Dellac.

I M, t. 1, août 1894, p. 141-144.

3. Démonstration nouvelle des propriétés de l'indicatrice d'une surface.

Cette Note est le premier travail publié par M. H. Poincaré.

N A M, 2e s., t. 13, oct. 1874, p. 449-456.

4. Sur la généralisation d'un théorème d'Euler relatif aux polyèdres.

C R, t. 117, 17 juil. 1893, p. 144-145.

5. Sur la généralisation d'un théorème élémentaire de Géométrie.

La somme des angles d'un triangle est égale à deux droits; mais nous n'avons aucun théorème analogue pour le tétraèdre.

102

La surface d'un triangle sphérique est proportionnelle à l'excès sphérique; mais nous n'avons aucun théorème analogue pour le tétraèdre hypersphérique tracé sur l'hypersphère de l'espace à quatre dimensions.

..... Le premier de ces théorèmes peut être généralisé dans tout espace d'un nombre pair de dimensions, mais non dans les espaces d'un nombre impair de dimensions. Le second théorème peut être étendu aux hypersphères des espaces à un nombre impair de dimensions, mais non aux hypersphères des espaces à un nombre pair de dimensions. H. P.

C R, t. 140, 16 janv. 1905, p. 113-117.

Analyse par Stenitz: J F M, Bd. 36, J. 1905, S. 601-602.

6. Sur le faisceau de cubiques passant par huit points d'un plan.

Question proposée.

I M, t. 1, janv. 1894, p. 2.

7. Sur le réseau de quadriques passant par sept points donnés dans l'espace.

Question proposée.

I M, t. 1, janv. 1894, p. 3.

8. Sur des courbes gauches particulières.

Question proposée en commun avec M. Léon Autonne.

I M, t. 1, juin 1894, p. 90.

9. Sur certaines familles de courbes algébriques.

Question proposée.

I M, t. 1, sept. 1894, p. 145;—t. 7, avr. 1900, p. 114-115.

10. Sur le problème de la rotation d'un corps solide autour d'un point fixe.

Réponse à une question proposée par M. P. Appell.

I M, t. 1, mars 1894, p. 41-42.

11. 12. Sur l'application du Calcul des Probabilités.

Lettre de M. H. Poincaré à M. P. Painlevé: Le Procès Dreyfus devant le Conseil de Guerre de Rennes, 7 août-9 septembre 1899. Paris, P.-V. Stock, t. III, 1900, gr. in-8, p. 329-331.

103

Rapport fait par MM. Darboux, Appell et Poincaré, sur l'Ordonnance du 18 avril 1904 de la Cour de Cassation: Affaire Dreyfus. La Révision du Procès de Rennes. Enquête de la Chambre criminelle de la Cour de Cassation, 5 mars-19 novembre 1904. Paris, Ligue des Droits de l'Homme, t. III, 1909, gr. in-8, p. 500-600.

Astronomie physique.

13. Observations au sujet de la Communication de M. Deslandres,

Intitulée Recherches spectrales sur la rotation et les mouvements des planètes.

C R, t. 120, 25 fév. 1895, p. 420-421.

Analyse par A. Berberich: F P, 51 J., 1895, S. 19-20.

Physique.

14. Observations sur la Communication de MM. Birkeland et Sarazin,

Intitulée Sur la nature de la réflexion des ondes électriques au bout du fil conducteur.

C R, t. 117, 6 nov. 1893, p. 622-624.

15. Observations au sujet de la Communication de M. Jean Perrin,

Intitulée Quelques propriétés des rayons de Röntgen.

C R, t. 22, 27 janv. 1896, p. 188.

16. 17. Observations au sujet des Communications suivantes de M. G. de Metz:

Photographie à l'intérieur du tube de Crookes;—La Photographie à l'intérieur du tube de Crookes.

C R, t. 122, 20 avr. 1896, p. 881.

C R, t. 123, 10 août 1896, p. 356.

18. Observations au sujet de la Note de M. J. J. Thomson,

Intitulée On the Cathode Rays16.

E E, t. 12, 17 juil. 1897, p. 186.

104

19. Théorie de la balance azimutale quadrifilaire17.

C R, t. 138, 11 avr. 1904, p. 869-874.

20 à 22. Correspondance entre MM. Poincaré et P. G. Tait,

Au sujet de la différence de potentiel vraie, dont il est parlé dans l'Ouvrage de M. H. Poincaré intitulé Thermodynamique.

Lettres de M. H. Poincaré: N, v. 45, March 3, 1892, p. 414-415;—March 24, 1892, p. 485;—v. 46, May 26, 1892, p. 76.

23. Fourier's Series.

Lettre de M. H. Poincaré à M. A. A. Michelson: N, v. 60, May 18, 1899, p. 52.

24. Sur les signaux horaires destinés aux marins.

Il s'agit d'une application de la télégraphie sans fil à la navigation.

C R, t. 150, 6 juin 1910, p. 1471-1472.

25. Sur l'envoi de l'heure par la télégraphe sans fil.

C R, t. 151, 21 nov. 1910, p. 911.

Pédagogie.

26. La notation différentielle et l'enseignement.

E M, 1re a., 15 mars 1899, p. 106-110.

27. La logique et l'intuition dans la science mathématique et dans l'enseignement.

E M, 1^{re} a., 15 mai 1899, p. 157-162.

28. Les définitions générales en Mathématiques.

Conférence faite au Musée pédagogique de Paris pendant le premier trimestre de l'année 1904.

Conférences du Musée pédagogique, Paris, A. C., 1904, in-18 jésus, p. 1-28.—E M, 6e a., 15 juil. 1904, p. 257-283.

105

Traductions:

En italien, par Giulio Lazzeri: P M L, Anno 20, 1905, p. 193-202, 241-251;

En espagnol, par Angel Bozal Obejero: Gazeta de Matemáticas, Madrid, Año 3, 1905, in-8 jésus, p. 121-132, 164-177.

29 à 33. Ce que disent les choses:

Cinq Articles intitulés: Les Astres.En regardant tomber une pomme.La Chaleur et l'Énergie.Les Mines.L'Industrie électrique.

Au Seuil de la Vie, Paris, Hachette, 1 vol. in-8 jésus, 5, 12, 19 nov. 1910, 4 fév. 1911, 18 mars 1911, p. 5-8, 21-24, 37-40, 213-216, 309-312.—Ce que disent les choses, par H. Poincaré, E. Perrier, P. Painlevé, Paris, H., 1912, in-8 jésus, p. 1-6, 7-10, 11-14, 69-74, 75-78.

34. Les Sciences et les Humanités.

Paris, A. Fayard, 1911, in-18 jésus, 32 p.

35. Sciences et Humanités.

Conférence faite le 22 mai 1912 à la Société des Amis des Gymnasiums, à Vienne (Autriche).

Politique.

36. Sur la participation des Savants à la Politique.

R B, 5e s., t. 1, 4 juin 1904, p. 708.

37. Sur la représentation proportionnelle.

Préface de l'Ouvrage intitulé La représentation proportionnelle en France et en Belgique, par Georges Lachapelle.

Paris, F. Alcan, 1911, in-16, p. III-XII.—Le Temps, Paris, 51e a., 2 fév. 1911, in-fol., p. 1-2.

38. Sur la prépondérance politique du Midi.

L'Opinion, Paris, 25 mars 1911; in-4 jésus, p. 353-354.

106

M. Maurice Collerat, de chiffres et d'une Carte, conclut, le 18 mars 1911, que «la France est gouvernée par le Midi et qu'elle l'est de plus en plus». L'Opinion ayant invité ses Lecteurs à exprimer leur sentiment sur cette question, M. H. Poincaré répondit le 25 mars 1911. On peut résumer ainsi sa pensée: La prépondérance du Midi est un fait indéniable. C'est là un mal. L'union de l'ardeur du Midi à la circonspection du Nord pourrait être un avantage pour la France. Et il ajoute: «Avec ces qualités opposées, on pourrait faire un mélange exquis si l'on n'en troublait malencontreusement les proportions.» Il termine son Article en disant qu'il n'a pas de remède à proposer.


DISCOURS.

1. Au Banquet de la Société amicale des Lorrains de Meurthe-et-Moselle,

Le 15 juin 1909, où fut fêtée l'élection à l'Académie française de MM. Henri Poincaré et Raymond Poincaré, Toast prononcé par M. H. Poincaré, en qualité de Président.

Est Républicain, Nancy, no 8057, 19 juin 1909, in-fol., p. 2.

2. A la Distribution solennelle des Prix au Lycée Henri IV, à Paris, le 31 juillet 1909,

Discours prononcé par M. H. Poincaré, en qualité de Président, Sur la nécessité de la culture scientifique.

Palmarès du Lycée Henri IV, 1909-1910, in-8, p. 31-36.—Le Petit Temps, Paris, no 2762, 1er août 1909, in-fol., p. 1.—R I E, t. 58, juil.-déc. 1909, p. 342-345.

3. A l'Inauguration du Monument élevé à la Mémoire d'Octave Gréard,

Discours prononcé le 11 juillet 1909 par M. H. Poincaré, au nom de l'Académie française.

Institut, 1909.-14, F.-D., in-4, p. 3-8.—Le Temps, Paris, 49e a., 12 juil. 1909, in-fol., p. 3.

4. Aux Funérailles de M. Hippolyte Langlois,

Discours lu le 14 février 1912 par M. H. Poincaré, en qualité de Directeur de l'Académie française.

Institut, 1909.-13, F.-D., in-4, 5 p.

5. Au Jubilé de M. Camille Flammarion,

Allocution prononcée le 26 fév. 1912 par M. H. Poincaré, en qualité de Président.

B S A F, 26e a., mars 1912, p. 101-103.

107

RAPPORT. PRÉFACES. ANALYSES.

1. Rapport verbal

Concernant une démonstration du théorème de Fermat sur l'impossibilité de l'équation xn + yn = zn, adressée par M. G. Korneck.

C R, t. 118, 16 avr. 1894, p. 841.

2. Préface de l'Ouvrage de Devaux-Charbonnel,

Intitulé État actuel de la Science électrique.

Paris, D., 1908, gr. in-8, p. v-x.

3. Préface de l'Ouvrage de Jacques Lux,

Intitulé Histoire de deux Revues françaises: La Revue bleue et La Revue scientifique, 1863-1911.

Édition des deux Revues, Paris, 41 bis, rue de Châteaudun, in-8, p. 5-8.

4. Analyse d'un Ouvrage de Ch. André,

Intitulé Traité d'Astronomie stellaire, 1^{re} partie, Étoiles simples. B A, t. 16, mars 1899, p. 124-127.

5. Appréciation d'un Ouvrage de M. V. Bjerknes,

Intitulé Vorlesungen über hydrodynomische Fernkräfte, en le présentant à l'Académie des Sciences.

C R, t. 130, 2 janv. 1900, p. 25.


(Le nombre des Écrits de M. Henri Poincaré est de 495.)

108

ABRÉVIATIONS.

A B L

Annuaire du Bureau des Longitudes pour l'an... Paris, G.-V., in-16.

A C M R

Atti del IVº Congresso internazionale dei Matematici (Roma, 6-11 Aprile 1908) pubblicati per cura del Segretario generale G. Castelnuovo. Roma, 3 vol. gr. in-8.

A F A S

Comptes rendus des Sessions de l'Association française pour l'Avancement des Sciences. Paris, gr. in-8.

A J M

American Journal of Mathematics, edited by Frank Morley, published under the Auspices of the Johns Hopkins University. Baltimore, in-4.

A M

Acta Mathematica. Journal fondé et rédigé par G. Mittag-Leffler. Berlin, Stockholm; Paris, Hn., in-4.

A N S E N

Archives Néerlandaises des Sciences exactes et naturelles. La Haye, gr. in-8.

A P P

Physical Society of London. Abstracts of Physical Papers foreign Sources. London. Taylor and Francis, gr. in-8.

A R S I

Annual Report of the Board of Regents of the Smithsonian Institution. Washington, gr. in-8.

A S E N

Annales scientifiques de l'École Normale supérieure. Paris, G.-V., in-4.

A S P N

Bibliothèque universelle et Revue Suisse. Archives des Sciences physiques et naturelles. Nouvelle Période. Genève, in-8.

A S S F

Acta Societatis Scientiarum Fennicæ. Helsingfors, in-4.

B A

Bulletin astronomique, publié par l'Observatoire de Paris. Président de la Commission de rédaction: H. Poincaré. Paris, G.-V., gr. in-8.

B A M S

Bulletin of the American mathematical Society. 2d s. Lancaster, Pa, and New York, the Macmillan Society, in-8.

B A P

Beiblätter zu den Annalen der Physik. Her. von Walter König. Leipzig, gr. in-8.

B C P P

Bibliothèque du Congrès international de Philosophie tenu à Paris du 1er au 5 août 1900. Paris, A. C., gr. in-8.

B G S

Blätter für das Gymnasial Schulwesen. Her. von Bayer. München, gr. in-8.

B N Y M S

Bulletin of the New York mathematical Society. New York, in-8.

B P S

Bibliothèque de Philosophie scientifique dirigée par M. Gustave Le Bon. Paris, E. F., in-18 jésus.

B S A F

Bulletin de la Société astronomique de France. Paris, gr. in-8.

B S F P

Bulletin des Séances de la Société française de Physique. Paris, gr. in-8.

B S M

Bulletin des Sciences mathématiques, fondé en 1870 par Gaston Darboux, publié par Gaston Darboux et Émile Picard. De 1870 à la fin de 1884, le titre fut Bulletin des Sciences mathématiques et astronomiques. Paris, G.-V., gr. in-8.

109B S M F

Bulletin de la Société mathématique de France. Paris, G.-V., gr. in-8.

B S P M K

Bulletin de la Société physico-mathématique de Kasan. Rédigé en russe. Kasan, gr. in-8.

C E St L

Congress of Arts and Science, Universal Exposition, Saint-Louis, 1904. Boston and New York, v. I, 1905, large 8vo.

C P A

Cours publiés par l'Association amicale des Élèves et anciens Élèves de la Faculté des Sciences de l'Université de Paris. A la Sorbonne.

C R

Comptes rendus hebdomadaires des Séances de l'Académie des Sciences. Paris, G.-V., in-4.

C R A G

Comptes rendus des Séances de la... Conférence générale de l'Association Géodésique internationale, réunie à... du... au... Berlin, G. R., in-4.

C R C M P

Compte rendu du IIe Congrès international des Mathématiciens tenu à Paris du 6 au 12 août 1900. Paris, G.-V., 1902, gr. in-8.

D M Z

Deutsche Mechaniker-Zeitung. Beiblatt zur Zeitschrift für Instrumentenkunde. Berlin, J. S., in-4.

E E

L'Éclairage électrique. Directeur: Ledeboer (1894-1895). Directeur: J. Blondin (1895-1907). Paris, in-4.

E M

L'Enseignement mathématique dirigé par C.-A. Laisant et H. Fehr. Paris et Genève, gr. in-8.

F P

Die Fortschritte der Physik im Jahre.... Erste Abt., Zweite Abt. Red. von Karl Scheel. Dritte Abt. Red. von Richard Assmann. Braunschweig, F. V., gr. in-8.

G

Gaea. Natur und Leben. Her. von Hermann J. Klein. Köln und Leipzig, gr. in-8.

G D

Gaston Darboux. Éloges académiques et Discours. Volume publié par le Comité du Jubilé scientifique de M. G. Darboux. Paris, Hn., 1912, in-18 jésus.

I M

L'Intermédiaire des Mathématiciens fondé en 1894 par C.-A. Laisant et Émile Lemoine. Paris, G.-V., in-8.

J C

Journal für die reine und angewandte Mathematik. Beg. von A. L. Crelle. Her. von K. Hensel. Berlin, G. R., in-4.

J E P

Journal de l'École Polytechnique. Paris, G.-V., in-4.

J F M

Jahrbuch über die Fortschritte der Mathematik. Beg. von Carl Ohrtmann. Her. von Emil Lampe. Berlin, G. R., gr. in-8.

J L

Journal de Mathématiques pures et appliquées fondé par J. Liouville, rédigé par Camille Jordan. Paris, G.-V., in-4.

J P

Journal de Physique théorique et appliquée fondé par J. d'Almeida. Paris, 5, rue de la Santé, gr. in-8.

K

Kantstudien. Philosophische Zeitschrift. Her. von Hans Vaihinger und Bruno Bauch. Berlin, Reuther und Reichard, gr. in-8.

K B

Korrespondenz Blatt für die Höheren Schulen Württembergs. Her. von H. Planck und O. Jaeger. Stuttgart, gr. in-8.

L C D

Literarisches Centralblatt für Deutschland. Her. von Edward Barncke. Leipzig, Eduard Avenarius, in-4.

L E

La Lumière électrique. Paris, 142, rue de Rennes, in-4.

L E H

La Lumière électrique. Directeur: Cornelius Herz. Paris, in-4.

110M

Mind. New s. Edited by Prof. G. F. Stout. London, New York, Macmillan and Co., gr. in-8.

M A

Mathematische Annalen. Beg. 1868 durch Alfred Clebsch und Carl Neumann. Her. von Felix Klein,... Leipzig, B. G. T., gr. in-8.

M C

The Monist. Chicago, The Open Court Publishing Co., in-8.

M M P

Monatshefte für Mathematik und Physik. Her. von G. v. Escherich, F. Mertens und W. Wirtinger. Wien, J. Eisenstein, gr. in-8.

M N

Monthly Notices of the Royal Astronomical Society of London. London, Burlington House, in-8.

M P L

Mathematikai és Physikai Lapok. Rédigé en hongrois par de Kövesl-*gethy Rado et Rados Gusztav. Budapest, in-8.

N

Nature. London and New York, in-4.

N A M

Nouvelles Annales de Mathématiques, fondées en 1842 par Gérono et Terquem. Paris, G.-V., in-8.

P C P S

Proceedings of the Cambridge philosophical Society. Cambridge, in-8.

P L M S

Proceedings of the London mathematical Society. London, Francis Hodgson, in-8 jusqu'en 1903, gr. in-8 à partir de 1904.

P M

Philosophical Magazine and Journal of Science (The London, Edinburgh and Dublin). London, Taylor and Francis, in-8.

P M L

Periodico di Matematica per l'Insegnamento secondario, diretto dal Prof. Giulio Lazzeri. Livorno, R. Giusti, gr. in-8.

P R S

Proceedings of the Royal Society of London. London, in-8 jusqu'au vol. 75, April 1905, gr. in-8 à partir du vol. 76, May 1905.

P T R S

Philosophical Transactions of the Royal Society of London. London, in-4.

P Z

Physikalische Zeitschrift. Her. von E. Riecke und H. Th. Simon. Leipzig, S. Hirzel, in-4.

R B

Revue politique et littéraire. Revue Bleue. Directeur: Félix Dumoulin, Paris, 41 bis, rue de Châteaudun, in-4.

R C M P

Rendiconti del Circolo matematico di Palermo. Direttore: G. B. Guccia. Palermo, 30 via Ruggiero Settimo, gr. in-8.

R C P P

Rapports présentés au Congrès international de Physique réuni à Paris en 1900. Paris, G.-V., gr. in-8.

R I E

Revue internationale de l'Enseignement. Rédacteur en chef: François Picavet. Paris, 20, rue Soufflot, gr. in-8.

R L

La Revue latine. Directeur: Émile Faguet. Paris, in-8.

R M

La Revue du Mois. Directeur: Émile Borel. Paris, Félix Alcan, gr. in-8.

R M M

Revue de Métaphysique et de Morale. Secrétaire de la Rédaction: M. Xavier Léon. Paris, A. C., gr. in-8.

R O

Revue générale des Sciences pures et appliquées. Fondateur: Louis Olivier. Directeur: J.-P. Langlois. Paris, A. C., in-4.

R P

Revue philosophique de la France et de l'Étranger dirigée par Th. Ribot. Paris, gr. in-8.

R R

Revue scientifique. Revue rose. Directeur de la Rédaction: Ch. Moureu. Paris, 41 bis, rue de Châteaudun, in-4.

S M A W

Sitzungsberichte der mathematisch-naturwissenschaftlichen Classe der Kaiserlichen Akademie der Wissenschaften. Wien, gr. in-8.

111S R S

«Scientia» Revista di Scienza. Milano, via Aurelio Saffi, 11, gr. in-8.

S V

Sechs Vorträge über ausgewählte Gegenstände aus der reinen Mathematik und mathematischen Physik von Henri Poincaré. Leipzig und Berlin, B. G. T., 1910, in-8.

T A M S

Transactions of the American Mathematical Society. Lancaster, Pa, and New York, in-4.

T C P S

Transactions of the Cambridge Philosophical Society. Cambridge, the University Press, in-4.

U P

L'Université de Paris. Bulletin officiel de l'Association générale des Étudiants de Paris. Paris, gr. in-8.

V A G

Vierteljahrsschrift der Astronomischen Gesellschaft. Her. von E. Schœnfeld und H. Seeliger. Leipzig, in-8.

V M K Z

Verhandlungen des ersten internationalen mathematiker-Kongresses in Zürich vom 9. bis 11. August 1897. Leipzig, B. G. I., 1898, gr. in-8.

W M

Wiadomosci Matematyczne. Rédigé en polonais. Rédacteur et éditeur: S. Dickstein. Warszawa, in-4.

Z

Ziva. Rédacteurs: J. Purkynë et E. Gréger. Praha, in-8.

Z M P

Zeitschrift für Mathematik und Physik. Beg. 1856 durch O. Schlömilch. Leipzig, B. G. T., gr. in-8.

Z P P

Zeitschrift für Psychologie und Physiologie der Sinnesorgane. Her. von Herm. Ebbinghaus und W. A. Nagel. Leipzig, J. A. B., gr. in-8.

Abt. Abteilung. A. C. Armand Colin.
Bd. Band. B. G. T. B. G. Teubner.
Beg. Begründet. C. N. C. Naud.
c. cahier. D. Dunod et E. Pinat.
f. fascicule. E. F. Ernest Flammarion.
Ht. Heft. F.-D. Firmin-Didot.
Her. Herausgegeben. G. C. Georges Carré.
J. Jahre. Jahrgang. G. R. Georg Reimer.
Lit. Literaturberichte. G.-V. Gauthier-Villars.
S. Seite. H. Hachette et Cie.
s. série, series. Hn. A. Hermann et Fils.
Ses. Session J. A. B. Johann Ambrosius Barth.
    J. S. Julius Springer.
    M. Masson et Cie.

112

TABLE DES MATIÈRES.

SECTION I.—BIOGRAPHIE.
  Pages.

Discours de M. Frédéric Masson

1

Grades. Fonctions. Titres honorifiques. Prix. Décorations

15

Écrits sur M. Henri Poincaré

19
SECTION II.—ANALYSE MATHÉMATIQUE.

Rapport par M. G. Rados sur le Prix Bolyai

21

Analyse pure. Ouvrages. Mémoires. Notes: Groupes et Fonctions. Fonctions définies par les équations différentielles. Fonctions uniformes. Groupe des équations linéaires. Séries. Fonctions analytiques. Fonctions entières. Fonctions θ. Fonctions fuchsiennes. Groupes kleinéens. Groupes discontinus. Groupes continus. Fonctions abéliennes.Équations différentielles. Intégration. Équations différentielles linéaires. Équations différentielles du premier ordre et du premier degré. Réduction des intégrales abéliennes. Intégrales de différentielles totales. Intégrales doubles. Équation de Fredholm ou Équations intégrales

27

Analyse appliquée a l'Arithmétique et a l'Algèbre. Mémoires. Notes

39

Analyse appliquée a la Géométrie. Mémoires. Notes. Courbes. Surfaces. Analysis situs

42
SECTION III.—MÉCANIQUE ANALYTIQUE ET MÉCANIQUE CÉLESTE.

Extrait de l'Adresse prononcée par Sir George Darwin

45

Ouvrages. Mémoires. Notes: Mécanique analytique. Masses fluides en rotation. Mécanique céleste. Problème des trois corps. Séries. Fonction perturbatrice. Terre. Théories des Marées; de la Lune; des Planètes. Quadratures mécaniques. Hypothèses cosmogoniques

49

Articles. Rapports. Conférence

61
SECTION IV.—PHYSIQUE MATHÉMATIQUE.

Rapport par M. G. Rados sur le Prix Bolyai

63

Ouvrages. Mémoires. Notes: Équations de la Physique mathématique. Élasticité. Théorie de la propagation de la chaleur. Thermodynamique. Théorie des Quanta. Théorie cinétique des gaz. Optique. Théorie de l'Électricité. Théorie de Lorentz. Électrotechnique. Rayons cathodiques. Oscillations hertziennes

65

Articles. Conférences

77
SECTION V.—PHILOSOPHIE SCIENTIFIQUE.

Analyse par M. Émile Faguet de Science et Méthode

79

Ouvrages. Articles. Discours. Conférences

84
SECTION VI.—HISTOIRE DES SCIENCES.

Ouvrages. Discours nécrologiques. Articles et Notices nécrologiques. Discours. Rapports. Articles. Préfaces. Analyses

93
SECTION VII.—PUBLICATIONS DIVERSES.

Notes. Articles. Conférences. Discours. Rapport. Préfaces. Analyses: Mathématiques. Astronomie physique. Physique. Pédagogie. Politique

101

Abréviations

108

Note 1 B S M, 2e s., t. 2, 1re p., fév., mars, avr. 1878, p. 60-96, 123-144, 151-200.

Note 2 C R, t. 111, 29 déc. 1890, p. 1021-1024.

Note 3 C R, t. 110, 24 mars 1890, p. 627-629.

Note 4 Stockholm, 1890, in-4o, p. 73-74.

Note 5 Traduit de l'anglais, avec l'autorisation de Sir George Darwin.

Note 6 Journal de Liouville, 1896, p. 57-102 et p. 217-262.

Note 7 Acta mathematica, t. 7, 1855-1856, p. 259-380.

Note 8 Les Méthodes nouvelles de la Mécanique céleste.

Note 9 P R S, t. 54, nov. 15, 1893, p. 438-461.

Note 10 S M A W, 104. Bd, Abt. II. a, 4. Juli 1895, p. 747-792.

Note 11 P R S, v. 71, Jan. 21, 1903, p. 251-258.

Note 12 Translated from Professor Poincaré's MS. by T. J. McCormack.

Note 13 Cambridge, 1897.

Note 14 Festschrift zur Feier der Enthüllung des Gauss-Weber-Denkmals in Göttingen: Leipzig, 1899, gr. in-8, 92 S.

Note 15La Science et l'Hypothèse, 1902, p. 138-141.

Note 16P C P S, t. 9, Feb. 8, 1897, p. 243-244.

Note 17 Cette balance est décrite par son inventeur, M. V. Crémieu: C R. t. 138, 1904, p. 893-895.

49011    Paris. — Imp. Gauthier-Villars, 55, quai des Grands-Augustins.






End of the Project Gutenberg EBook of Henri Poincaré, by Ernest Lebon

*** END OF THIS PROJECT GUTENBERG EBOOK HENRI POINCARÉ ***

***** This file should be named 32948-h.htm or 32948-h.zip *****
This and all associated files of various formats will be found in:
        http://www.gutenberg.org/3/2/9/4/32948/

Produced by Laura Wisewell, Turgut Dincer and the Online
Distributed Proofreading Team at http://www.pgdp.net (The
original copy of this book was generously made available
for scanning by the Department of Mathematics at the
University of Glasgow.)


Updated editions will replace the previous one--the old editions
will be renamed.

Creating the works from public domain print editions means that no
one owns a United States copyright in these works, so the Foundation
(and you!) can copy and distribute it in the United States without
permission and without paying copyright royalties.  Special rules,
set forth in the General Terms of Use part of this license, apply to
copying and distributing Project Gutenberg-tm electronic works to
protect the PROJECT GUTENBERG-tm concept and trademark.  Project
Gutenberg is a registered trademark, and may not be used if you
charge for the eBooks, unless you receive specific permission.  If you
do not charge anything for copies of this eBook, complying with the
rules is very easy.  You may use this eBook for nearly any purpose
such as creation of derivative works, reports, performances and
research.  They may be modified and printed and given away--you may do
practically ANYTHING with public domain eBooks.  Redistribution is
subject to the trademark license, especially commercial
redistribution.



*** START: FULL LICENSE ***

THE FULL PROJECT GUTENBERG LICENSE
PLEASE READ THIS BEFORE YOU DISTRIBUTE OR USE THIS WORK

To protect the Project Gutenberg-tm mission of promoting the free
distribution of electronic works, by using or distributing this work
(or any other work associated in any way with the phrase "Project
Gutenberg"), you agree to comply with all the terms of the Full Project
Gutenberg-tm License (available with this file or online at
http://gutenberg.org/license).


Section 1.  General Terms of Use and Redistributing Project Gutenberg-tm
electronic works

1.A.  By reading or using any part of this Project Gutenberg-tm
electronic work, you indicate that you have read, understand, agree to
and accept all the terms of this license and intellectual property
(trademark/copyright) agreement.  If you do not agree to abide by all
the terms of this agreement, you must cease using and return or destroy
all copies of Project Gutenberg-tm electronic works in your possession.
If you paid a fee for obtaining a copy of or access to a Project
Gutenberg-tm electronic work and you do not agree to be bound by the
terms of this agreement, you may obtain a refund from the person or
entity to whom you paid the fee as set forth in paragraph 1.E.8.

1.B.  "Project Gutenberg" is a registered trademark.  It may only be
used on or associated in any way with an electronic work by people who
agree to be bound by the terms of this agreement.  There are a few
things that you can do with most Project Gutenberg-tm electronic works
even without complying with the full terms of this agreement.  See
paragraph 1.C below.  There are a lot of things you can do with Project
Gutenberg-tm electronic works if you follow the terms of this agreement
and help preserve free future access to Project Gutenberg-tm electronic
works.  See paragraph 1.E below.

1.C.  The Project Gutenberg Literary Archive Foundation ("the Foundation"
or PGLAF), owns a compilation copyright in the collection of Project
Gutenberg-tm electronic works.  Nearly all the individual works in the
collection are in the public domain in the United States.  If an
individual work is in the public domain in the United States and you are
located in the United States, we do not claim a right to prevent you from
copying, distributing, performing, displaying or creating derivative
works based on the work as long as all references to Project Gutenberg
are removed.  Of course, we hope that you will support the Project
Gutenberg-tm mission of promoting free access to electronic works by
freely sharing Project Gutenberg-tm works in compliance with the terms of
this agreement for keeping the Project Gutenberg-tm name associated with
the work.  You can easily comply with the terms of this agreement by
keeping this work in the same format with its attached full Project
Gutenberg-tm License when you share it without charge with others.

1.D.  The copyright laws of the place where you are located also govern
what you can do with this work.  Copyright laws in most countries are in
a constant state of change.  If you are outside the United States, check
the laws of your country in addition to the terms of this agreement
before downloading, copying, displaying, performing, distributing or
creating derivative works based on this work or any other Project
Gutenberg-tm work.  The Foundation makes no representations concerning
the copyright status of any work in any country outside the United
States.

1.E.  Unless you have removed all references to Project Gutenberg:

1.E.1.  The following sentence, with active links to, or other immediate
access to, the full Project Gutenberg-tm License must appear prominently
whenever any copy of a Project Gutenberg-tm work (any work on which the
phrase "Project Gutenberg" appears, or with which the phrase "Project
Gutenberg" is associated) is accessed, displayed, performed, viewed,
copied or distributed:

This eBook is for the use of anyone anywhere at no cost and with
almost no restrictions whatsoever.  You may copy it, give it away or
re-use it under the terms of the Project Gutenberg License included
with this eBook or online at www.gutenberg.org

1.E.2.  If an individual Project Gutenberg-tm electronic work is derived
from the public domain (does not contain a notice indicating that it is
posted with permission of the copyright holder), the work can be copied
and distributed to anyone in the United States without paying any fees
or charges.  If you are redistributing or providing access to a work
with the phrase "Project Gutenberg" associated with or appearing on the
work, you must comply either with the requirements of paragraphs 1.E.1
through 1.E.7 or obtain permission for the use of the work and the
Project Gutenberg-tm trademark as set forth in paragraphs 1.E.8 or
1.E.9.

1.E.3.  If an individual Project Gutenberg-tm electronic work is posted
with the permission of the copyright holder, your use and distribution
must comply with both paragraphs 1.E.1 through 1.E.7 and any additional
terms imposed by the copyright holder.  Additional terms will be linked
to the Project Gutenberg-tm License for all works posted with the
permission of the copyright holder found at the beginning of this work.

1.E.4.  Do not unlink or detach or remove the full Project Gutenberg-tm
License terms from this work, or any files containing a part of this
work or any other work associated with Project Gutenberg-tm.

1.E.5.  Do not copy, display, perform, distribute or redistribute this
electronic work, or any part of this electronic work, without
prominently displaying the sentence set forth in paragraph 1.E.1 with
active links or immediate access to the full terms of the Project
Gutenberg-tm License.

1.E.6.  You may convert to and distribute this work in any binary,
compressed, marked up, nonproprietary or proprietary form, including any
word processing or hypertext form.  However, if you provide access to or
distribute copies of a Project Gutenberg-tm work in a format other than
"Plain Vanilla ASCII" or other format used in the official version
posted on the official Project Gutenberg-tm web site (www.gutenberg.org),
you must, at no additional cost, fee or expense to the user, provide a
copy, a means of exporting a copy, or a means of obtaining a copy upon
request, of the work in its original "Plain Vanilla ASCII" or other
form.  Any alternate format must include the full Project Gutenberg-tm
License as specified in paragraph 1.E.1.

1.E.7.  Do not charge a fee for access to, viewing, displaying,
performing, copying or distributing any Project Gutenberg-tm works
unless you comply with paragraph 1.E.8 or 1.E.9.

1.E.8.  You may charge a reasonable fee for copies of or providing
access to or distributing Project Gutenberg-tm electronic works provided
that

- You pay a royalty fee of 20% of the gross profits you derive from
     the use of Project Gutenberg-tm works calculated using the method
     you already use to calculate your applicable taxes.  The fee is
     owed to the owner of the Project Gutenberg-tm trademark, but he
     has agreed to donate royalties under this paragraph to the
     Project Gutenberg Literary Archive Foundation.  Royalty payments
     must be paid within 60 days following each date on which you
     prepare (or are legally required to prepare) your periodic tax
     returns.  Royalty payments should be clearly marked as such and
     sent to the Project Gutenberg Literary Archive Foundation at the
     address specified in Section 4, "Information about donations to
     the Project Gutenberg Literary Archive Foundation."

- You provide a full refund of any money paid by a user who notifies
     you in writing (or by e-mail) within 30 days of receipt that s/he
     does not agree to the terms of the full Project Gutenberg-tm
     License.  You must require such a user to return or
     destroy all copies of the works possessed in a physical medium
     and discontinue all use of and all access to other copies of
     Project Gutenberg-tm works.

- You provide, in accordance with paragraph 1.F.3, a full refund of any
     money paid for a work or a replacement copy, if a defect in the
     electronic work is discovered and reported to you within 90 days
     of receipt of the work.

- You comply with all other terms of this agreement for free
     distribution of Project Gutenberg-tm works.

1.E.9.  If you wish to charge a fee or distribute a Project Gutenberg-tm
electronic work or group of works on different terms than are set
forth in this agreement, you must obtain permission in writing from
both the Project Gutenberg Literary Archive Foundation and Michael
Hart, the owner of the Project Gutenberg-tm trademark.  Contact the
Foundation as set forth in Section 3 below.

1.F.

1.F.1.  Project Gutenberg volunteers and employees expend considerable
effort to identify, do copyright research on, transcribe and proofread
public domain works in creating the Project Gutenberg-tm
collection.  Despite these efforts, Project Gutenberg-tm electronic
works, and the medium on which they may be stored, may contain
"Defects," such as, but not limited to, incomplete, inaccurate or
corrupt data, transcription errors, a copyright or other intellectual
property infringement, a defective or damaged disk or other medium, a
computer virus, or computer codes that damage or cannot be read by
your equipment.

1.F.2.  LIMITED WARRANTY, DISCLAIMER OF DAMAGES - Except for the "Right
of Replacement or Refund" described in paragraph 1.F.3, the Project
Gutenberg Literary Archive Foundation, the owner of the Project
Gutenberg-tm trademark, and any other party distributing a Project
Gutenberg-tm electronic work under this agreement, disclaim all
liability to you for damages, costs and expenses, including legal
fees.  YOU AGREE THAT YOU HAVE NO REMEDIES FOR NEGLIGENCE, STRICT
LIABILITY, BREACH OF WARRANTY OR BREACH OF CONTRACT EXCEPT THOSE
PROVIDED IN PARAGRAPH F3.  YOU AGREE THAT THE FOUNDATION, THE
TRADEMARK OWNER, AND ANY DISTRIBUTOR UNDER THIS AGREEMENT WILL NOT BE
LIABLE TO YOU FOR ACTUAL, DIRECT, INDIRECT, CONSEQUENTIAL, PUNITIVE OR
INCIDENTAL DAMAGES EVEN IF YOU GIVE NOTICE OF THE POSSIBILITY OF SUCH
DAMAGE.

1.F.3.  LIMITED RIGHT OF REPLACEMENT OR REFUND - If you discover a
defect in this electronic work within 90 days of receiving it, you can
receive a refund of the money (if any) you paid for it by sending a
written explanation to the person you received the work from.  If you
received the work on a physical medium, you must return the medium with
your written explanation.  The person or entity that provided you with
the defective work may elect to provide a replacement copy in lieu of a
refund.  If you received the work electronically, the person or entity
providing it to you may choose to give you a second opportunity to
receive the work electronically in lieu of a refund.  If the second copy
is also defective, you may demand a refund in writing without further
opportunities to fix the problem.

1.F.4.  Except for the limited right of replacement or refund set forth
in paragraph 1.F.3, this work is provided to you 'AS-IS' WITH NO OTHER
WARRANTIES OF ANY KIND, EXPRESS OR IMPLIED, INCLUDING BUT NOT LIMITED TO
WARRANTIES OF MERCHANTIBILITY OR FITNESS FOR ANY PURPOSE.

1.F.5.  Some states do not allow disclaimers of certain implied
warranties or the exclusion or limitation of certain types of damages.
If any disclaimer or limitation set forth in this agreement violates the
law of the state applicable to this agreement, the agreement shall be
interpreted to make the maximum disclaimer or limitation permitted by
the applicable state law.  The invalidity or unenforceability of any
provision of this agreement shall not void the remaining provisions.

1.F.6.  INDEMNITY - You agree to indemnify and hold the Foundation, the
trademark owner, any agent or employee of the Foundation, anyone
providing copies of Project Gutenberg-tm electronic works in accordance
with this agreement, and any volunteers associated with the production,
promotion and distribution of Project Gutenberg-tm electronic works,
harmless from all liability, costs and expenses, including legal fees,
that arise directly or indirectly from any of the following which you do
or cause to occur: (a) distribution of this or any Project Gutenberg-tm
work, (b) alteration, modification, or additions or deletions to any
Project Gutenberg-tm work, and (c) any Defect you cause.


Section  2.  Information about the Mission of Project Gutenberg-tm

Project Gutenberg-tm is synonymous with the free distribution of
electronic works in formats readable by the widest variety of computers
including obsolete, old, middle-aged and new computers.  It exists
because of the efforts of hundreds of volunteers and donations from
people in all walks of life.

Volunteers and financial support to provide volunteers with the
assistance they need, are critical to reaching Project Gutenberg-tm's
goals and ensuring that the Project Gutenberg-tm collection will
remain freely available for generations to come.  In 2001, the Project
Gutenberg Literary Archive Foundation was created to provide a secure
and permanent future for Project Gutenberg-tm and future generations.
To learn more about the Project Gutenberg Literary Archive Foundation
and how your efforts and donations can help, see Sections 3 and 4
and the Foundation web page at http://www.pglaf.org.


Section 3.  Information about the Project Gutenberg Literary Archive
Foundation

The Project Gutenberg Literary Archive Foundation is a non profit
501(c)(3) educational corporation organized under the laws of the
state of Mississippi and granted tax exempt status by the Internal
Revenue Service.  The Foundation's EIN or federal tax identification
number is 64-6221541.  Its 501(c)(3) letter is posted at
http://pglaf.org/fundraising.  Contributions to the Project Gutenberg
Literary Archive Foundation are tax deductible to the full extent
permitted by U.S. federal laws and your state's laws.

The Foundation's principal office is located at 4557 Melan Dr. S.
Fairbanks, AK, 99712., but its volunteers and employees are scattered
throughout numerous locations.  Its business office is located at
809 North 1500 West, Salt Lake City, UT 84116, (801) 596-1887, email
business@pglaf.org.  Email contact links and up to date contact
information can be found at the Foundation's web site and official
page at http://pglaf.org

For additional contact information:
     Dr. Gregory B. Newby
     Chief Executive and Director
     gbnewby@pglaf.org


Section 4.  Information about Donations to the Project Gutenberg
Literary Archive Foundation

Project Gutenberg-tm depends upon and cannot survive without wide
spread public support and donations to carry out its mission of
increasing the number of public domain and licensed works that can be
freely distributed in machine readable form accessible by the widest
array of equipment including outdated equipment.  Many small donations
($1 to $5,000) are particularly important to maintaining tax exempt
status with the IRS.

The Foundation is committed to complying with the laws regulating
charities and charitable donations in all 50 states of the United
States.  Compliance requirements are not uniform and it takes a
considerable effort, much paperwork and many fees to meet and keep up
with these requirements.  We do not solicit donations in locations
where we have not received written confirmation of compliance.  To
SEND DONATIONS or determine the status of compliance for any
particular state visit http://pglaf.org

While we cannot and do not solicit contributions from states where we
have not met the solicitation requirements, we know of no prohibition
against accepting unsolicited donations from donors in such states who
approach us with offers to donate.

International donations are gratefully accepted, but we cannot make
any statements concerning tax treatment of donations received from
outside the United States.  U.S. laws alone swamp our small staff.

Please check the Project Gutenberg Web pages for current donation
methods and addresses.  Donations are accepted in a number of other
ways including checks, online payments and credit card donations.
To donate, please visit: http://pglaf.org/donate


Section 5.  General Information About Project Gutenberg-tm electronic
works.

Professor Michael S. Hart is the originator of the Project Gutenberg-tm
concept of a library of electronic works that could be freely shared
with anyone.  For thirty years, he produced and distributed Project
Gutenberg-tm eBooks with only a loose network of volunteer support.


Project Gutenberg-tm eBooks are often created from several printed
editions, all of which are confirmed as Public Domain in the U.S.
unless a copyright notice is included.  Thus, we do not necessarily
keep eBooks in compliance with any particular paper edition.


Most people start at our Web site which has the main PG search facility:

     http://www.gutenberg.org

This Web site includes information about Project Gutenberg-tm,
including how to make donations to the Project Gutenberg Literary
Archive Foundation, how to help produce our new eBooks, and how to
subscribe to our email newsletter to hear about new eBooks.